Open Access

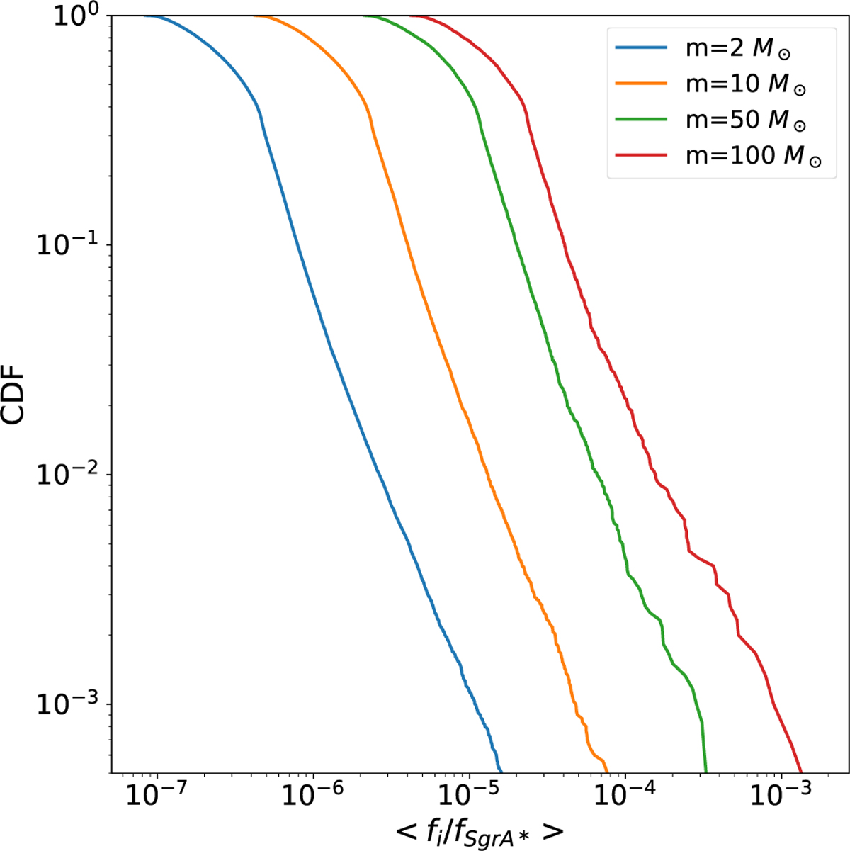
Fig. 4

image

Download original image

Cumulative distribution functions (CDFs) of the average (over a radial period) of the ratio fi/fS grA*, between the norm of the force exerted on S2 by each cluster object and that due to Sgr A*. Here, Me,S2 is set to 1500 M and m is varied as indicated in the figure. Larger values of m lead to stronger interactions on average between S2 and the cluster particles.

Current usage metrics show cumulative count of Article Views (full-text article views including HTML views, PDF and ePub downloads, according to the available data) and Abstracts Views on Vision4Press platform.

Data correspond to usage on the plateform after 2015. The current usage metrics is available 48-96 hours after online publication and is updated daily on week days.

Initial download of the metrics may take a while.