Open Access

Fig. 4

image

Download original image

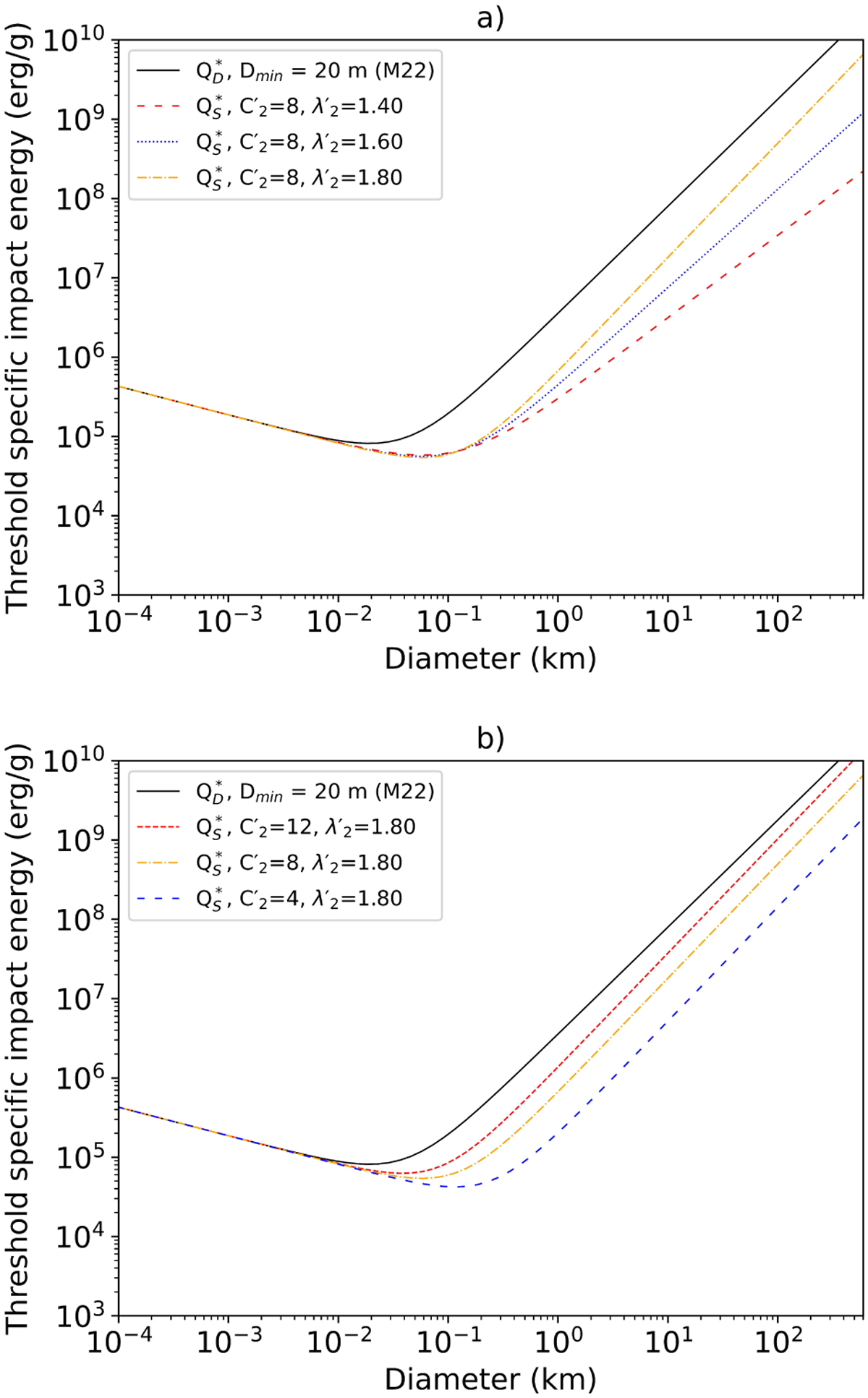
QS$\[Q_{S}^{*}\]$ scaling laws tested to study case 2. (a) parameter C2$\[C_{2}^{\prime}\]$ is kept constant at value 10, while λ2$\[\lambda_{2}^{\prime}\]$ takes three different values. (b) parameter λ2$\[\lambda_{2}^{\prime}\]$ is kept constant at 1.80, while C2$\[C_{2}^{\prime}\]$ takes three different values. The solid black line corresponds to the unconventional scaling law, namely, that of QD$\[Q_{D}^{*}\]$, used by Marschall et al. (2022) for a reference.

Current usage metrics show cumulative count of Article Views (full-text article views including HTML views, PDF and ePub downloads, according to the available data) and Abstracts Views on Vision4Press platform.

Data correspond to usage on the plateform after 2015. The current usage metrics is available 48-96 hours after online publication and is updated daily on week days.

Initial download of the metrics may take a while.