Open Access

Fig. B.1.

image

Download original image

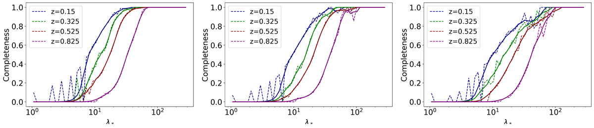
Selection function of the AMICO catalog as a function of the intrinsic richness λ* computed in four different redshift intervals, centered in the values reported in the legend. The solid lines represent the smoothed versions derived from Chebyshev polynomials, while the dashed lines refer to the unsmoothed versions. The three panels include the original (central panel) and two blinded versions of the selection function.

Current usage metrics show cumulative count of Article Views (full-text article views including HTML views, PDF and ePub downloads, according to the available data) and Abstracts Views on Vision4Press platform.

Data correspond to usage on the plateform after 2015. The current usage metrics is available 48-96 hours after online publication and is updated daily on week days.

Initial download of the metrics may take a while.