Open Access

Fig. 4.

image

Download original image

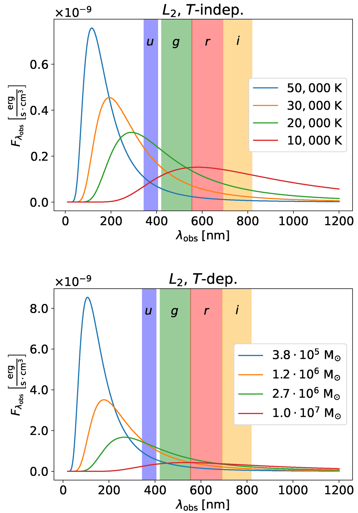
Black body flux for different temperatures (upper panel) and BH masses (lower panel). For L2, T-indep. in the upper panel, F λ obs A em L 2 M BH 1 / 6 $ F_{\lambda_{\mathrm{obs}}} \propto A_{\mathrm{em}} \propto L_{2} \propto M_{\mathrm{BH}}^{-1/6} $, which means the BH mass only changes the normalization of the flux because T is fixed. For L2, T-dep. in the lower panel, Fλobs has a non-trivial dependence on MBH and T M BH 3 / 8 $ T \propto M_{\mathrm{BH}}^{-3/8} $, which means the normalization and peak of the flux are coupled through the BH mass. For the top panel, we assumed a BH mass of 106 M. In the bottom panel, we chose the BH masses such that each line color matches the temperature of the fixed-temperature models. For both panels, we assumed a redshift of z = 1.

Current usage metrics show cumulative count of Article Views (full-text article views including HTML views, PDF and ePub downloads, according to the available data) and Abstracts Views on Vision4Press platform.

Data correspond to usage on the plateform after 2015. The current usage metrics is available 48-96 hours after online publication and is updated daily on week days.

Initial download of the metrics may take a while.