Open Access

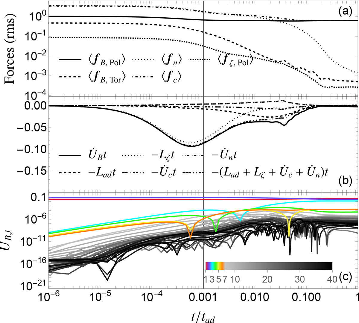
Fig. 18.

image

Download original image

For the simulation of Fig. 17: (a) Time evolution of the rms force densities ⟨fB, Pol⟩, ⟨fB, Tor⟩, ⟨fn⟩, ⟨fc⟩, and ⟨fζ, Pol⟩, all normalized by ⟨fB, Pol(t = 0)⟩. (b) Energy conservation. The different terms are in units of the total initial magnetic energy. (c) External magnetic energy stored in multipole l, UB, l, normalized by the total initial magnetic energy, where l = 1, …, NExp. The vertical line corresponds to tζB/tad.

Current usage metrics show cumulative count of Article Views (full-text article views including HTML views, PDF and ePub downloads, according to the available data) and Abstracts Views on Vision4Press platform.

Data correspond to usage on the plateform after 2015. The current usage metrics is available 48-96 hours after online publication and is updated daily on week days.

Initial download of the metrics may take a while.