Open Access

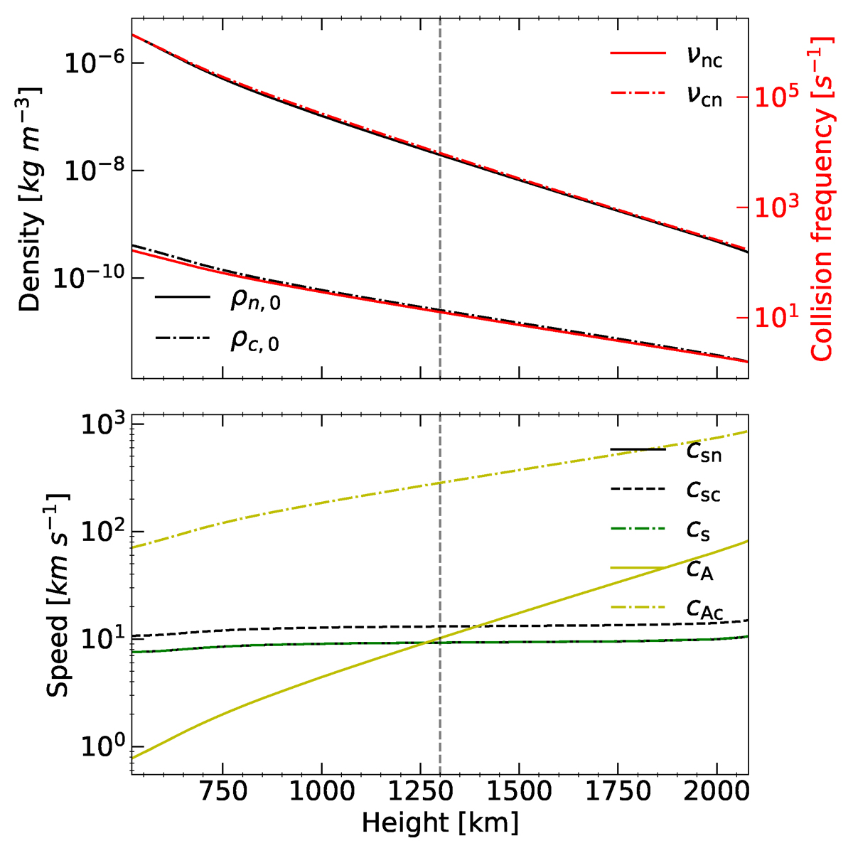
Fig. 1.

image

Download original image

Representation of the characteristic parameters of the atmosphere. In the top panel, the density of neutrals is in solid black line and the density of charges is in dashed-dotted line. Their scale is shown on the left axis. The right axis labels represent the neutral-charge (solid red line) and the charge-neutral (dashed-dotted red line) collision frequencies. The characteristic speeds are displayed in the bottom panel: the neutral (solid black line), charge (dashed line) and 1F (dashed-dotted green line) sound speeds and the 1F (solid yellow line) and charge (‘dashed-dot’ yellow line) Alfvén speeds. The vertical dashed line indicates the equipartition layer βplasma = 1.

Current usage metrics show cumulative count of Article Views (full-text article views including HTML views, PDF and ePub downloads, according to the available data) and Abstracts Views on Vision4Press platform.

Data correspond to usage on the plateform after 2015. The current usage metrics is available 48-96 hours after online publication and is updated daily on week days.

Initial download of the metrics may take a while.