Open Access

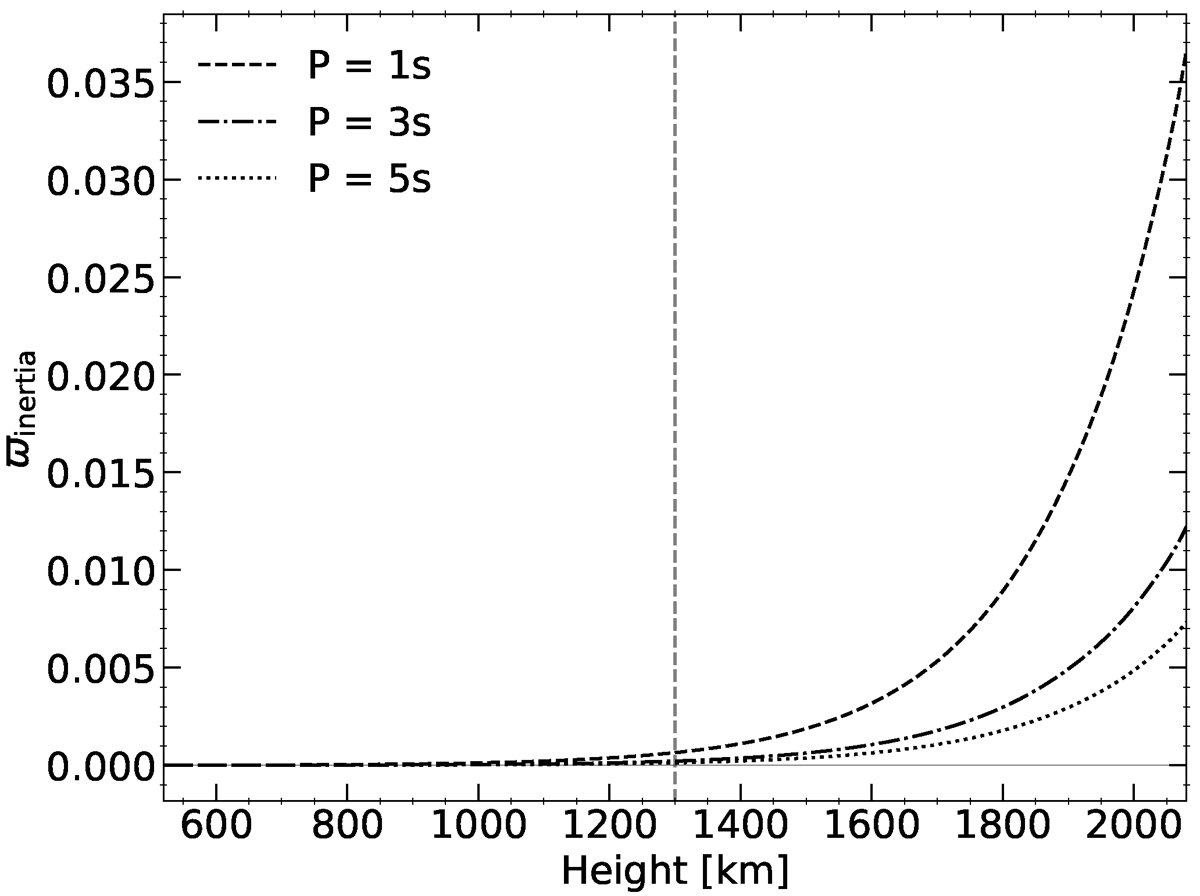
Fig. 13.

image

Download original image

Estimator of the impact of inertial terms for the three wave periods considered in this work as function of the height. The vertical dashed line indicates the equipartition layer βplasma = 1.

Current usage metrics show cumulative count of Article Views (full-text article views including HTML views, PDF and ePub downloads, according to the available data) and Abstracts Views on Vision4Press platform.

Data correspond to usage on the plateform after 2015. The current usage metrics is available 48-96 hours after online publication and is updated daily on week days.

Initial download of the metrics may take a while.