Open Access

Fig. 7.

image

Download original image

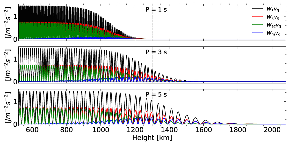
Representation of the 1F wave energy flux contributions for the three wave periods studied in this work. From the top to the bottom, the wave periods are 1 s, 3 s, and 5 s, respectively. Blue line: Magnetic energy (Wm). Green line: Acoustic energy (Wac). Red line: Kinetic energy (WK). Black line: Total energy (WT). The vertical dashed line indicates the equipartition layer βplasma = 1.

Current usage metrics show cumulative count of Article Views (full-text article views including HTML views, PDF and ePub downloads, according to the available data) and Abstracts Views on Vision4Press platform.

Data correspond to usage on the plateform after 2015. The current usage metrics is available 48-96 hours after online publication and is updated daily on week days.

Initial download of the metrics may take a while.