Open Access

Fig. 10.

image

Download original image

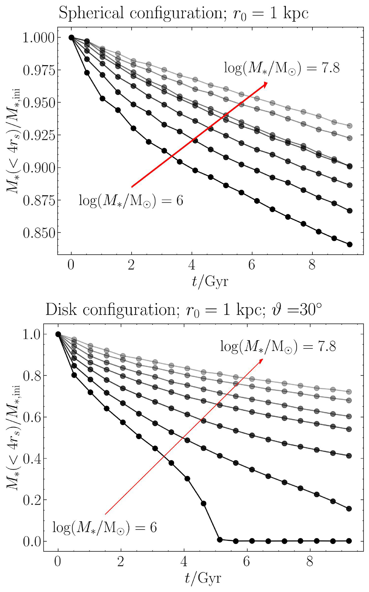
Top panel: Retained mass (relative to the initial one) as a function of time for clumps of different masses in circular orbits at 1 kpc from the centre of the system. The residual mass is computed within 4rs, where rs is the initial Plummer scale radius. In this case, the clumps orbit in a Sparkler-like spherical potential representing the total mass, defined in Sect. 4.1. Masses go from log(M*/M) = 6 to log(M*/M) = 7.8 with a step of 0.3 dex (the arrow points from the smallest to the highest mass). Bottom panel: Same as the left panel but for clumps in quasi-circular orbit at 1 kpc from the centre of the system including a stellar disc component (modelled as in Sect. 5.2). The clump orbital plane is inclined of 30 degrees with respect to the plane of the disc.

Current usage metrics show cumulative count of Article Views (full-text article views including HTML views, PDF and ePub downloads, according to the available data) and Abstracts Views on Vision4Press platform.

Data correspond to usage on the plateform after 2015. The current usage metrics is available 48-96 hours after online publication and is updated daily on week days.

Initial download of the metrics may take a while.