Open Access

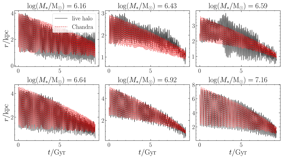
Fig. B.2.

image

Download original image

Orbits of the clumps under the effect of dynamical friction. For each panel, the black solid line represents the orbit of the selected clump (parameters in Table B.1) in the simulation of point-mass clumps in a spherical halo made of particles for the spherical configuration (Sect. 4.4.3). The red dashed line indicates the orbit of the same clump in the same halo but implemented as an external potential and with the addition of the Chandrasekhar formula, as described in Appendix B.

Current usage metrics show cumulative count of Article Views (full-text article views including HTML views, PDF and ePub downloads, according to the available data) and Abstracts Views on Vision4Press platform.

Data correspond to usage on the plateform after 2015. The current usage metrics is available 48-96 hours after online publication and is updated daily on week days.

Initial download of the metrics may take a while.