Open Access

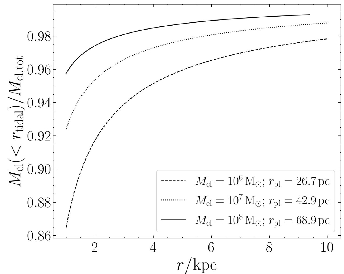
Fig. 9.

image

Download original image

Fraction of the clump mass enclosed within the tidal radius defined as in Eq. (14). The masses of the clumps are 106, 107, and 108 M (dashed, dotted and solid lines, respectively). The effective radius of the clumps is given by Eq. (1). Tidal radii are computed for distances between 1 and 10 kpc.

Current usage metrics show cumulative count of Article Views (full-text article views including HTML views, PDF and ePub downloads, according to the available data) and Abstracts Views on Vision4Press platform.

Data correspond to usage on the plateform after 2015. The current usage metrics is available 48-96 hours after online publication and is updated daily on week days.

Initial download of the metrics may take a while.