Open Access

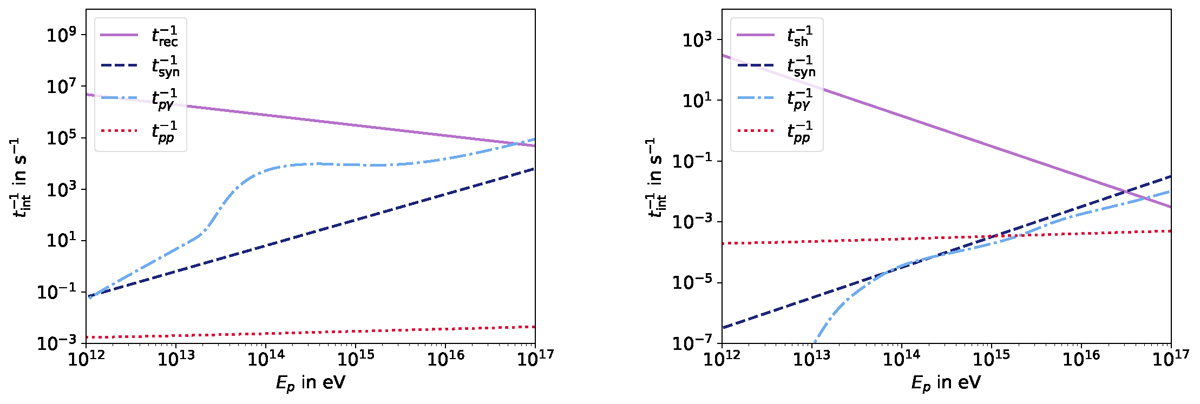
Fig. 2.

image

Download original image

Rates for synchrotron losses t syn 1 $ t^{-1}_{\mathrm{syn}} $, photo-hadronic t p γ 1 $ t^{-1}_{p\gamma} $, and hadronic t pp 1 $ t^{-1}_{pp} $ interactions of a proton as function of energy compared to the acceleration rate by reconnection t rec 1 $ t^{-1}_{\mathrm{rec}} $ and second-order Fermi acceleration t Fermi 1 $ t^{-1}_{\mathrm{Fermi}} $ in state S1 (left) and by DSA t sh 1 $ t^{-1}_{\mathrm{sh}} $ in state S2(right).

Current usage metrics show cumulative count of Article Views (full-text article views including HTML views, PDF and ePub downloads, according to the available data) and Abstracts Views on Vision4Press platform.

Data correspond to usage on the plateform after 2015. The current usage metrics is available 48-96 hours after online publication and is updated daily on week days.

Initial download of the metrics may take a while.