Open Access

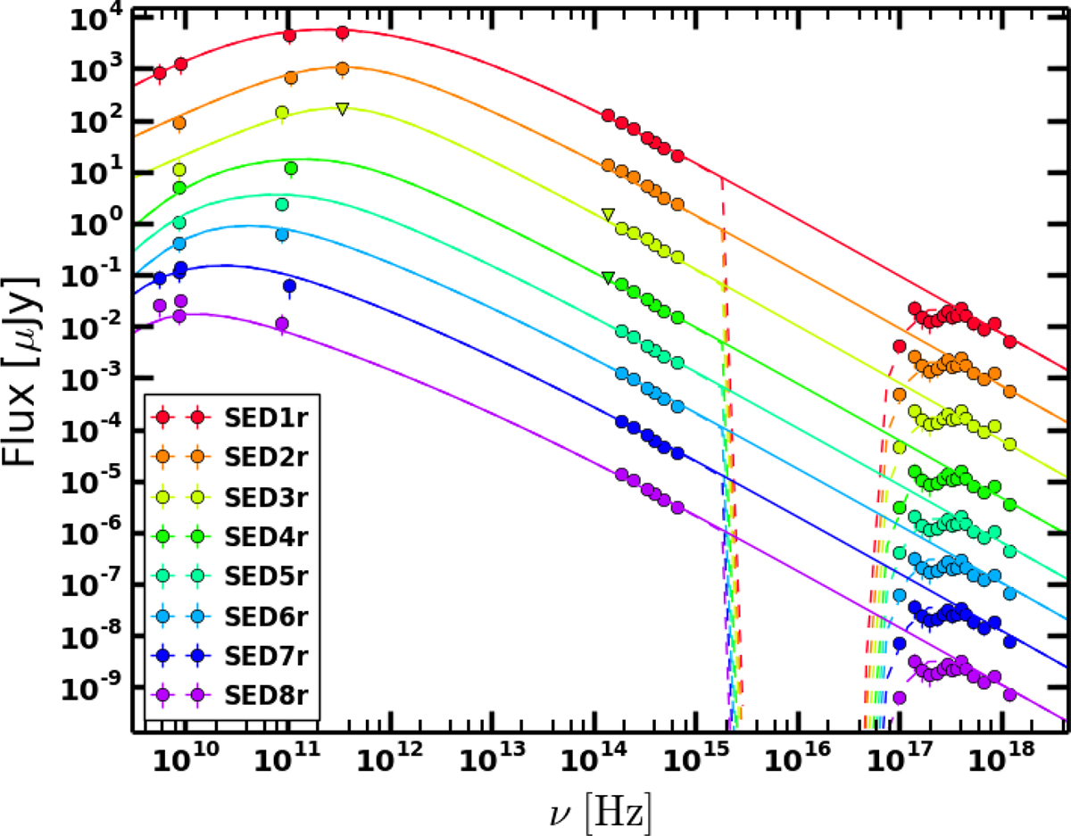
Fig. 5.

image

Download original image

Broadband SED analysis for GRB 100418A using eight epochs analysed using multi-epoch broadband observations. The first three epochs correspond to the fast cooling regime (SED1r – SED3r); the last five epochs (SED4r – SED8r) correspond to the slow cooling regime. The best-fit model for all SEDs is a double broken power-law with smooth breaks.

Current usage metrics show cumulative count of Article Views (full-text article views including HTML views, PDF and ePub downloads, according to the available data) and Abstracts Views on Vision4Press platform.

Data correspond to usage on the plateform after 2015. The current usage metrics is available 48-96 hours after online publication and is updated daily on week days.

Initial download of the metrics may take a while.