Open Access

Fig. 8

image

Download original image

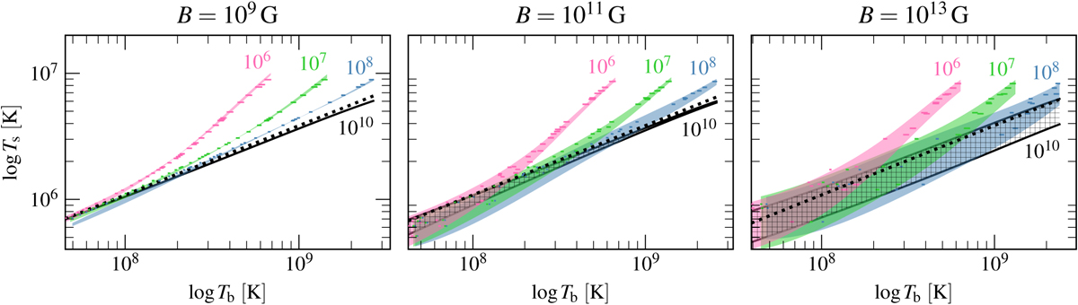
TbTs relations for different densities, ρb (see annotated coloured text, in g cm−3), and three magnetic field strengths (see titles) for the Fe envelope. The band corresponds to different values of the magnetic angle, Θ (lower values of Ts for the same Tb correspond to larger angles, i.e. more magnetic insulation). Using the same colours, we show all the points (circles) in the training dataset that correspond to similar magnetic field strengths and densities (difference smaller than 0.05 dex), demonstrating the success of the model in learning the TbTs relation. The relations obtained by Gudmundsson et al. (1983) (dotted black line) and Potekhin et al. (2015) (hatched band) for ρb=1010 g cm−3 are also plotted for comparison.

Current usage metrics show cumulative count of Article Views (full-text article views including HTML views, PDF and ePub downloads, according to the available data) and Abstracts Views on Vision4Press platform.

Data correspond to usage on the plateform after 2015. The current usage metrics is available 48-96 hours after online publication and is updated daily on week days.

Initial download of the metrics may take a while.