Press Release
Open Access

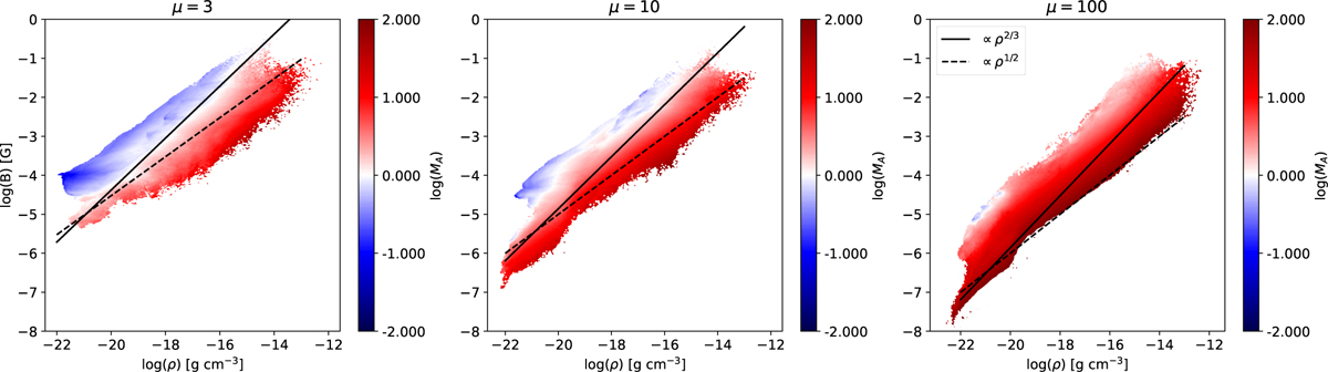
Fig. 12

image

Download original image

Illustration of the impact of initial magnetization on the scaling of magnetic field strength (B) with density (ρ). The color displays the logarithm of the Alfvénic Mach number. From left to right, we display µ = 3, µ = 10, and µ = 100 at SFE=0.1. We clearly see that the relation steepens toward a ρ2/3 scaling as the µ increases (B decreases). We overlay some power-law correlations to guide the eye.

Current usage metrics show cumulative count of Article Views (full-text article views including HTML views, PDF and ePub downloads, according to the available data) and Abstracts Views on Vision4Press platform.

Data correspond to usage on the plateform after 2015. The current usage metrics is available 48-96 hours after online publication and is updated daily on week days.

Initial download of the metrics may take a while.