Open Access

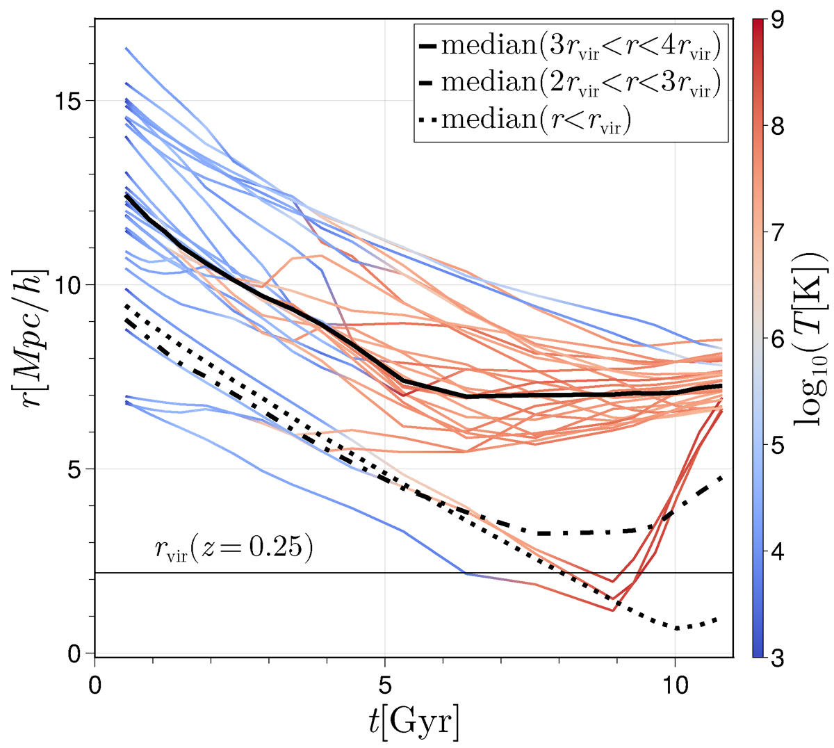
Fig. 12.

image

Download original image

Evolution tracks of the same 40 particles as in ztrack in radial distance to the cluster centre. The black lines again show the medians of 1000 randomly selected particles, each for three different radial ranges. The line colour indicates the temperature of the particle at the given scale factor.

Current usage metrics show cumulative count of Article Views (full-text article views including HTML views, PDF and ePub downloads, according to the available data) and Abstracts Views on Vision4Press platform.

Data correspond to usage on the plateform after 2015. The current usage metrics is available 48-96 hours after online publication and is updated daily on week days.

Initial download of the metrics may take a while.