Press Release
Open Access

Fig. 13

image

Download original image

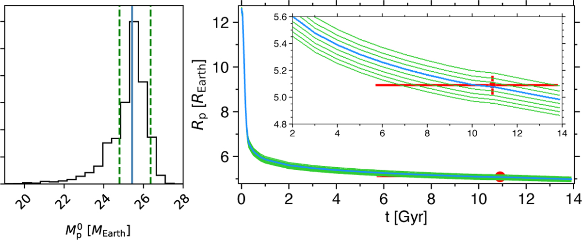
JADE exploration of TOI-421 c atmospheric evolution. Left: PDF of the initial planet mass. The median is highlighted as a blue line, and the 1σ HDI interval is shown as dashed green lines. Right: temporal evolution of the planet radius in the best-fit simulation (blue curve) and a set of simulations from within the HDI interval (green curves). The red point indicates the measured age and radius of the planet with their associated uncertainties.

Current usage metrics show cumulative count of Article Views (full-text article views including HTML views, PDF and ePub downloads, according to the available data) and Abstracts Views on Vision4Press platform.

Data correspond to usage on the plateform after 2015. The current usage metrics is available 48-96 hours after online publication and is updated daily on week days.

Initial download of the metrics may take a while.