Open Access

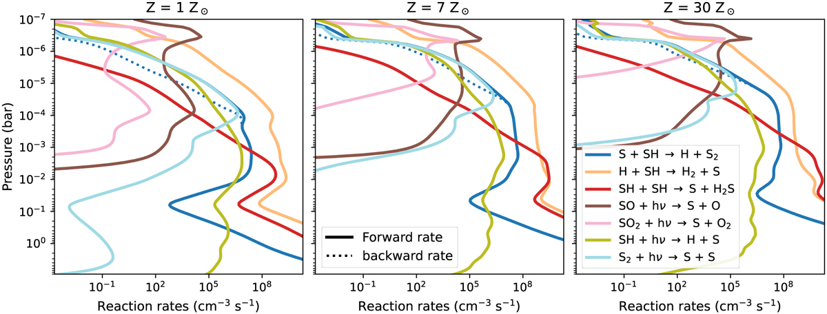
Fig. 4

image

Download original image

Dominant reactions (by fastest reaction rate) that produce/destroy S, for three different metallicities. Forward rates are shown by solid lines; backward rates by dotted lines. The other values of the simulations are Tint=400 K, C/O=0.46 and log Kzz=9(cm2/s).

Current usage metrics show cumulative count of Article Views (full-text article views including HTML views, PDF and ePub downloads, according to the available data) and Abstracts Views on Vision4Press platform.

Data correspond to usage on the plateform after 2015. The current usage metrics is available 48-96 hours after online publication and is updated daily on week days.

Initial download of the metrics may take a while.