Open Access

Fig. 3.

image

Download original image

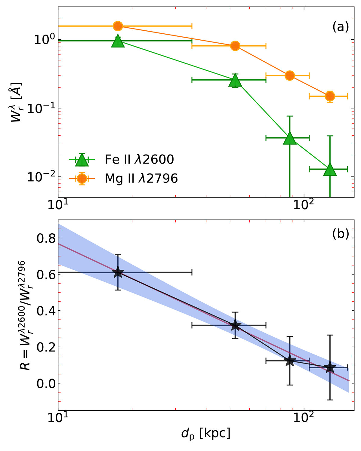
Rest-frame equivalent widths of Fe IIλ2600 and Mg IIλ2796 (panel a), as well as their equivalent width ratio (panel b), as functions of impact parameter dp for ELGs. In panel b, the red-solid line represents the best-fit relation: R = 1 . 41 0.13 + 0.11 0 . 64 0.06 + 0.08 $ R = 1.41^{+0.11}_{-0.13}{-}0.64^{+0.08}_{-0.06} $ log(dp [kpc]) and the grey-shaded region shows the 1σ confidence interval of the best fit.

Current usage metrics show cumulative count of Article Views (full-text article views including HTML views, PDF and ePub downloads, according to the available data) and Abstracts Views on Vision4Press platform.

Data correspond to usage on the plateform after 2015. The current usage metrics is available 48-96 hours after online publication and is updated daily on week days.

Initial download of the metrics may take a while.