Open Access

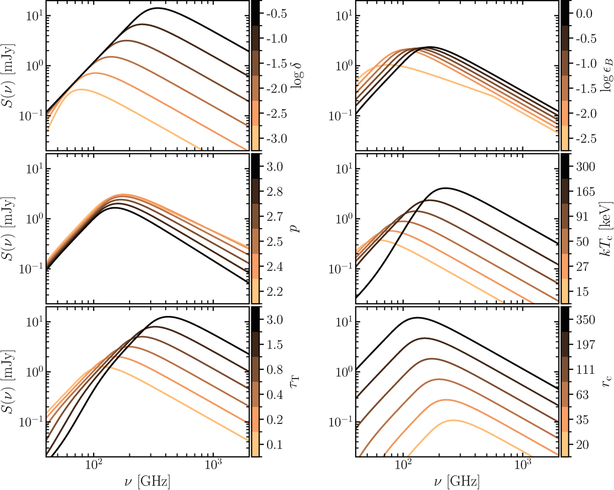
Fig. 1.

image

Download original image

Corona SEDs in which only one parameter was varied at a time, as indicated in the colour bar of each panel. The fiducial values are D = 100 Mpc, MBH = 108 M, τT = 0.25, kTc = 166 keV, rc = 130, log ϵB = 0, log δ = −1.5, and p = 2.7. More details are discussed in Sect. 3.1.

Current usage metrics show cumulative count of Article Views (full-text article views including HTML views, PDF and ePub downloads, according to the available data) and Abstracts Views on Vision4Press platform.

Data correspond to usage on the plateform after 2015. The current usage metrics is available 48-96 hours after online publication and is updated daily on week days.

Initial download of the metrics may take a while.