Open Access

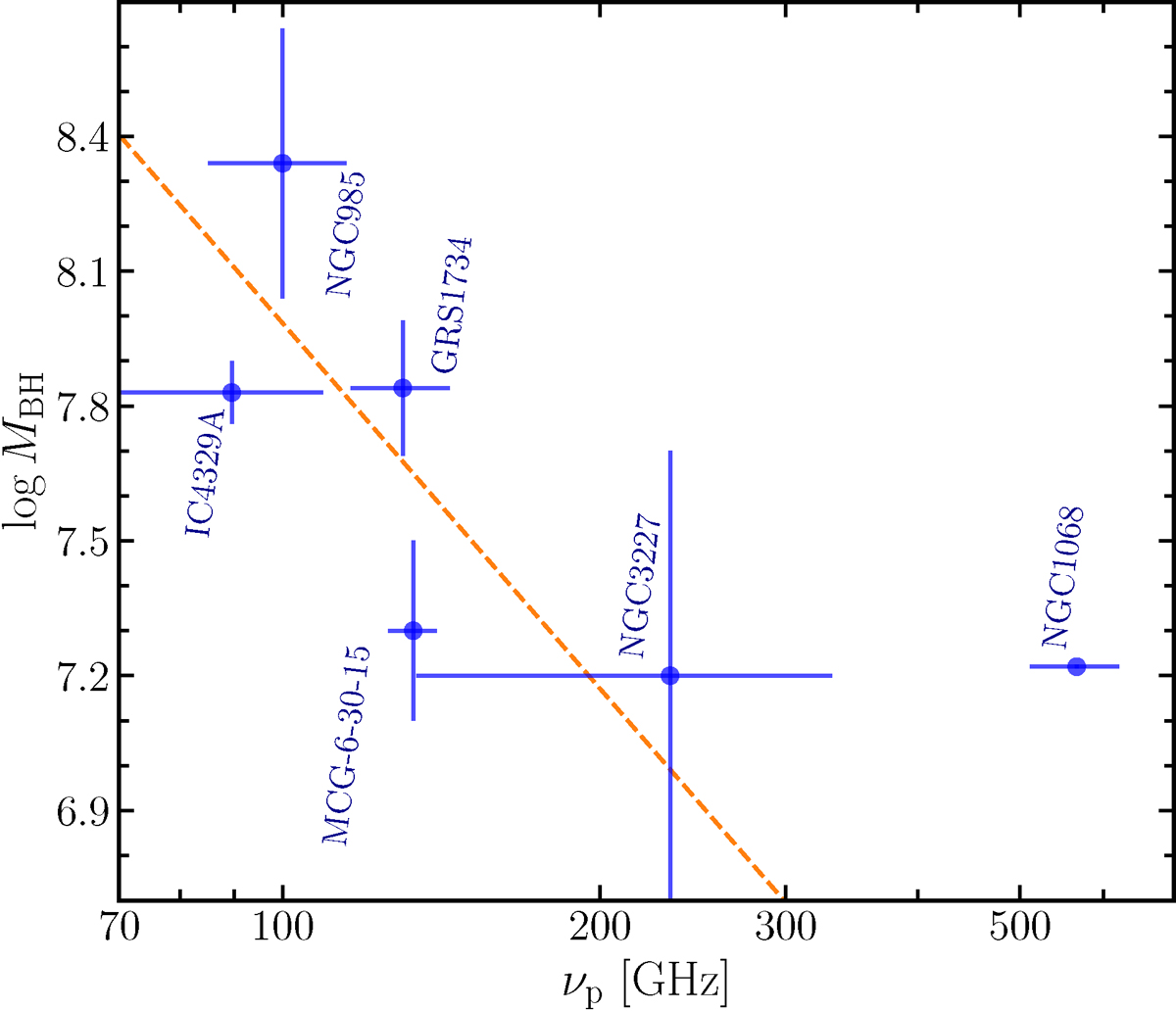
Fig. 7.

image

Download original image

Peak frequency of the corona component vs. the mass of the SMBH. The dotted line with the slope −0.37 shows the model prediction (Sect. 3.1). We note that the error bar of MBH is very small in NGC 1068 (Gallagher et al. 2024).

Current usage metrics show cumulative count of Article Views (full-text article views including HTML views, PDF and ePub downloads, according to the available data) and Abstracts Views on Vision4Press platform.

Data correspond to usage on the plateform after 2015. The current usage metrics is available 48-96 hours after online publication and is updated daily on week days.

Initial download of the metrics may take a while.