Open Access

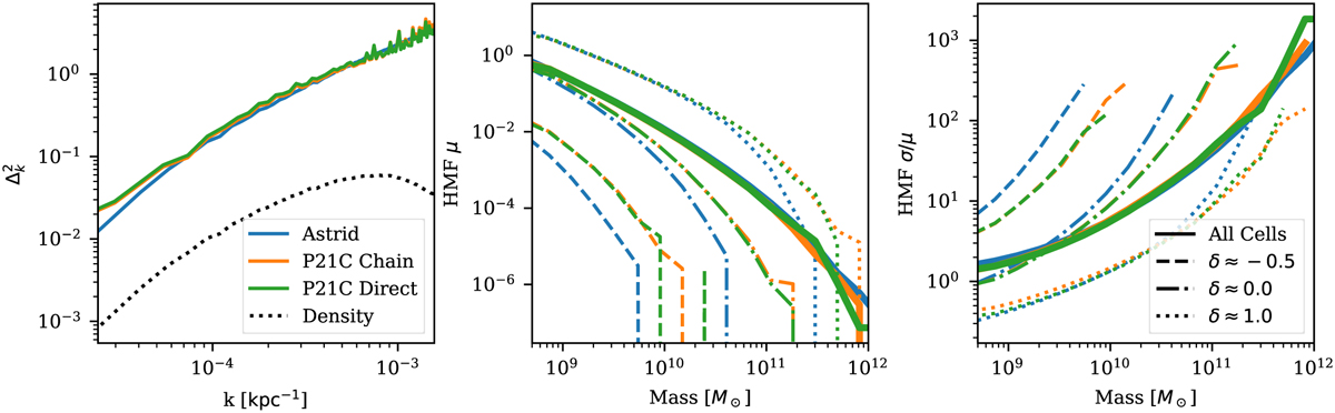
Fig. C.1

image

Download original image

One- and two-point statistics of 21cmFASTv4 and an N -body + hydro code at z = 8. We show results from our direct number-limited halo sampling (green lines) and correlated mass-limited halos sampling starting at z = 5.5 (orange lines). We also show statistics from ASTRID Friends-of-Friends catalogues (blue lines). Panels from left to right show the halo power spectrum, the mean HMF within 2Mpc Eulerian (evolved) cells, and the standard deviation divided by mean σ/µ (CV) of the HMF averaged over the same cells as in the middle panel. HMF statistics are presented as solid lines for all cells, dashed lines for δ ∈ (−0.6, −0.4), dot-dashed lines for δ ∈ (−0.1, 0.1), and dotted lines for δ ∈ (0.9, 1.1).

Current usage metrics show cumulative count of Article Views (full-text article views including HTML views, PDF and ePub downloads, according to the available data) and Abstracts Views on Vision4Press platform.

Data correspond to usage on the plateform after 2015. The current usage metrics is available 48-96 hours after online publication and is updated daily on week days.

Initial download of the metrics may take a while.