Open Access

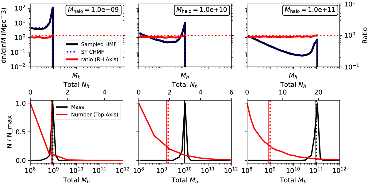
Fig. 3

image

Download original image

Same as Figure 2, but sampling from 10000 descendant halos of mass 109, 1010, and 1011 M from redshift zdesc = 6 to the progenitor redshift, zprog = (1 + zdesc)∆z - 1, where ∆z = 1.02. Samples drawn from descendant halos use the mass-limited sampling described above, rather than the number-limited sampling used for the cells. The short time step results in a very tight distribution of total progenitor mass, although the number of halos and their mass distribution can vary significantly between individual descendants.

Current usage metrics show cumulative count of Article Views (full-text article views including HTML views, PDF and ePub downloads, according to the available data) and Abstracts Views on Vision4Press platform.

Data correspond to usage on the plateform after 2015. The current usage metrics is available 48-96 hours after online publication and is updated daily on week days.

Initial download of the metrics may take a while.