Open Access

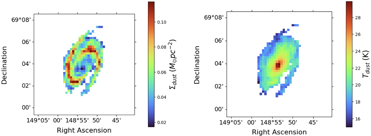
Fig. 1.

image

Download original image

Σdust (left) and Tdust (right) maps of the sample galaxy NGC 3031 (M 81) derived according to the prescriptions described in Sect. 2.1. The maps are shown at the SPIRE-500 resolution (36″), corresponding to 0.6 kpc at the galaxy’s distance. Only regions with S/N > 5 are shown.

Current usage metrics show cumulative count of Article Views (full-text article views including HTML views, PDF and ePub downloads, according to the available data) and Abstracts Views on Vision4Press platform.

Data correspond to usage on the plateform after 2015. The current usage metrics is available 48-96 hours after online publication and is updated daily on week days.

Initial download of the metrics may take a while.