Open Access

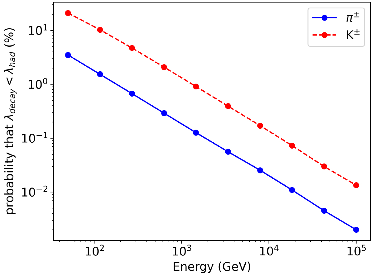
Fig. 2.

image

Download original image

Probability that the mean free path for decay of π± and K± is less than the mean free path for inelastic collisions with protons of the accretion disc as a function of energy, assuming np = 5 × 1021 cm−3.

Current usage metrics show cumulative count of Article Views (full-text article views including HTML views, PDF and ePub downloads, according to the available data) and Abstracts Views on Vision4Press platform.

Data correspond to usage on the plateform after 2015. The current usage metrics is available 48-96 hours after online publication and is updated daily on week days.

Initial download of the metrics may take a while.