Open Access

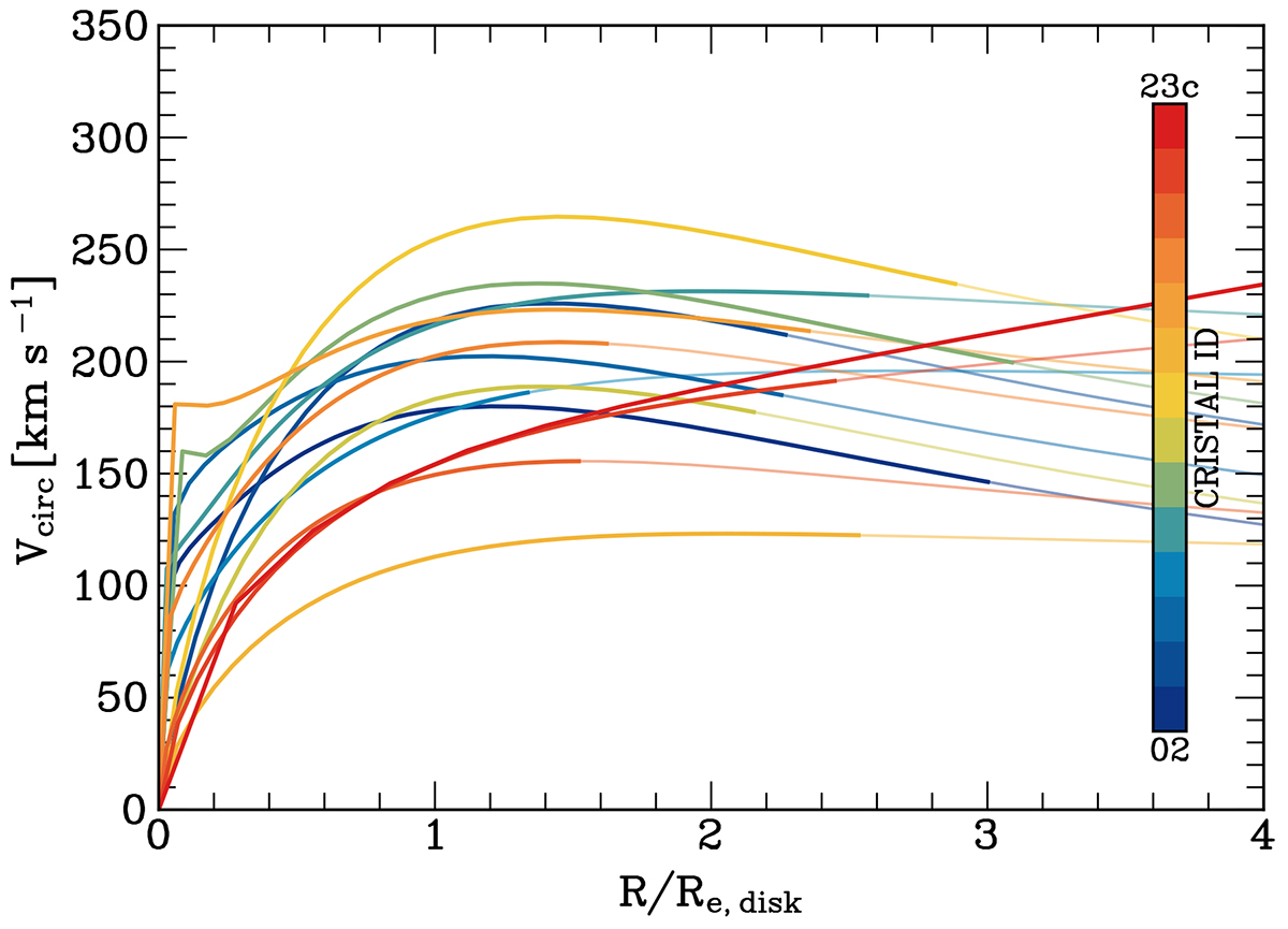
Fig. 7.

image

Download original image

Intrinsic total circular velocity profiles Vcirc(R/Re, disk) of all CRISTAL disks, corrected for beam-smearing and projection effects. Colours in ascending order represent the CRISTAL ID (first column in Table 3). The individual Vcirc(R) of baryons and DM are presented in Figure E.1 in Appendix E. Thin, lighter coloured lines indicate the radial range beyond which the data are not covered.

Current usage metrics show cumulative count of Article Views (full-text article views including HTML views, PDF and ePub downloads, according to the available data) and Abstracts Views on Vision4Press platform.

Data correspond to usage on the plateform after 2015. The current usage metrics is available 48-96 hours after online publication and is updated daily on week days.

Initial download of the metrics may take a while.