Open Access

Fig. 19

image

Download original image

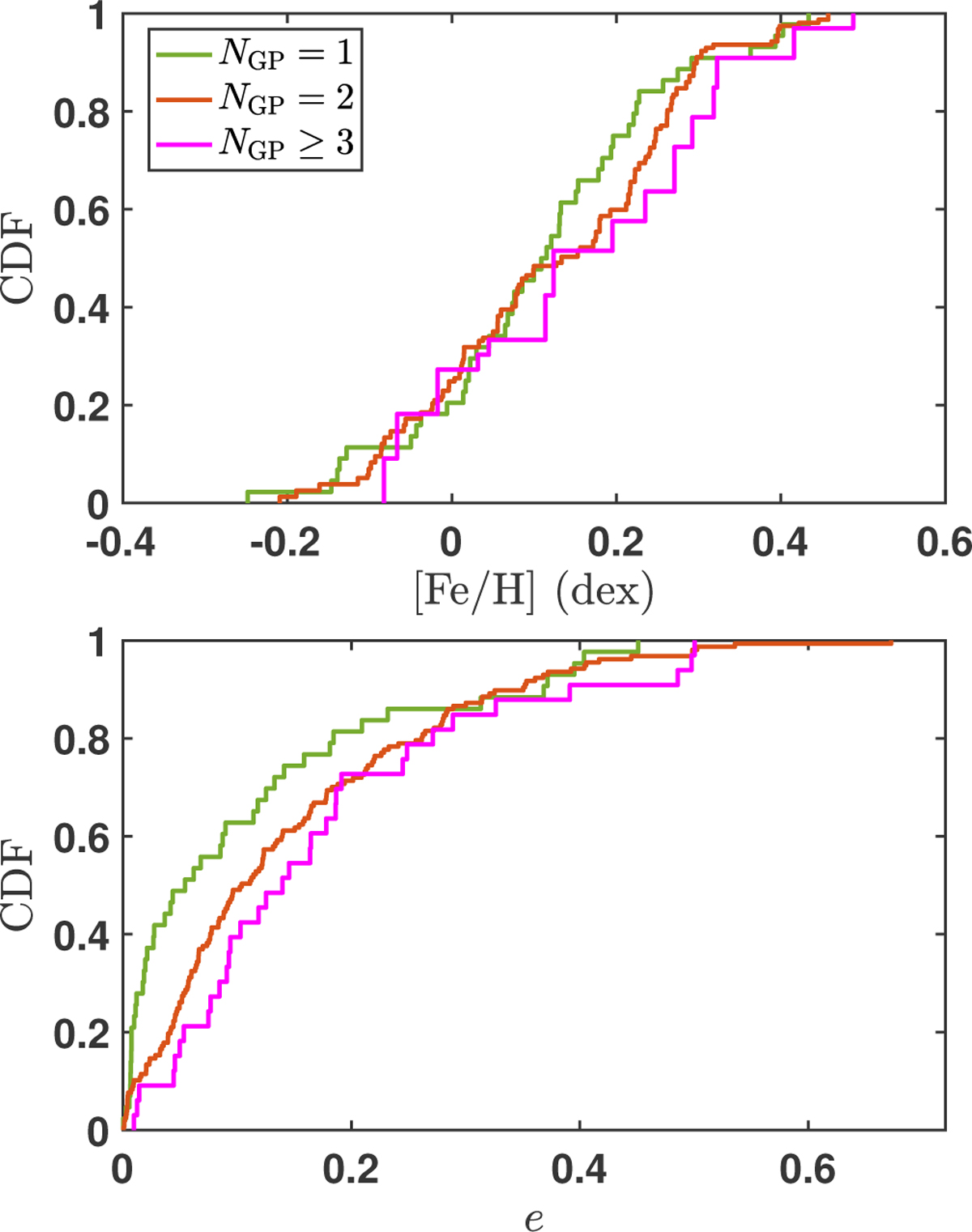
Cumulative distributions of stellar metallicities [Fe/H] (top panel) and planetary eccentricity (bottom panel) for single giant planetary systems (blue) and multiple giant planetary systems. The two sample KS test p–values are printed in the lower-right corner of each panel.

Current usage metrics show cumulative count of Article Views (full-text article views including HTML views, PDF and ePub downloads, according to the available data) and Abstracts Views on Vision4Press platform.

Data correspond to usage on the plateform after 2015. The current usage metrics is available 48-96 hours after online publication and is updated daily on week days.

Initial download of the metrics may take a while.