Open Access

Fig. 4.

image

Download original image

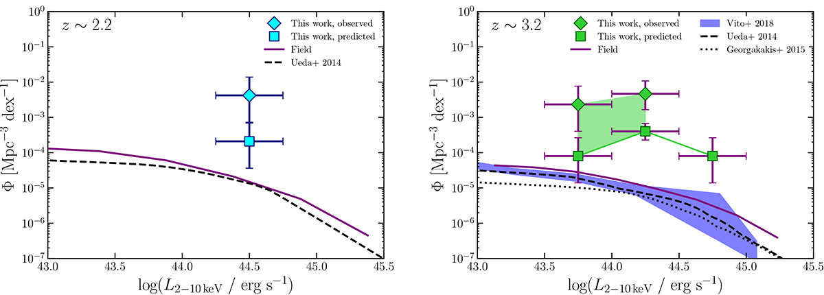
X-ray luminosity functions in two different redshift bins (z ∼ 2.2 and z ∼ 3.2) and in luminosity bins of 0.5 dex. Our data are shown as cyan and green points, with different markers representing different assumptions on the co-moving volume. For comparison, XLFs for the field environment at similar redshifts are also reported. The solid purple line shows the XLF for field AGN from Gilli et al. (2007). The dashed lines correspond to the XLFs from Ueda et al. (2014) at z ∼ 2.2 and z ∼ 3.2. The dotted line shows the XLF from Georgakakis et al. (2015), and the purple shaded area represents the XLF estimated by Vito et al. (2018b).

Current usage metrics show cumulative count of Article Views (full-text article views including HTML views, PDF and ePub downloads, according to the available data) and Abstracts Views on Vision4Press platform.

Data correspond to usage on the plateform after 2015. The current usage metrics is available 48-96 hours after online publication and is updated daily on week days.

Initial download of the metrics may take a while.