Open Access

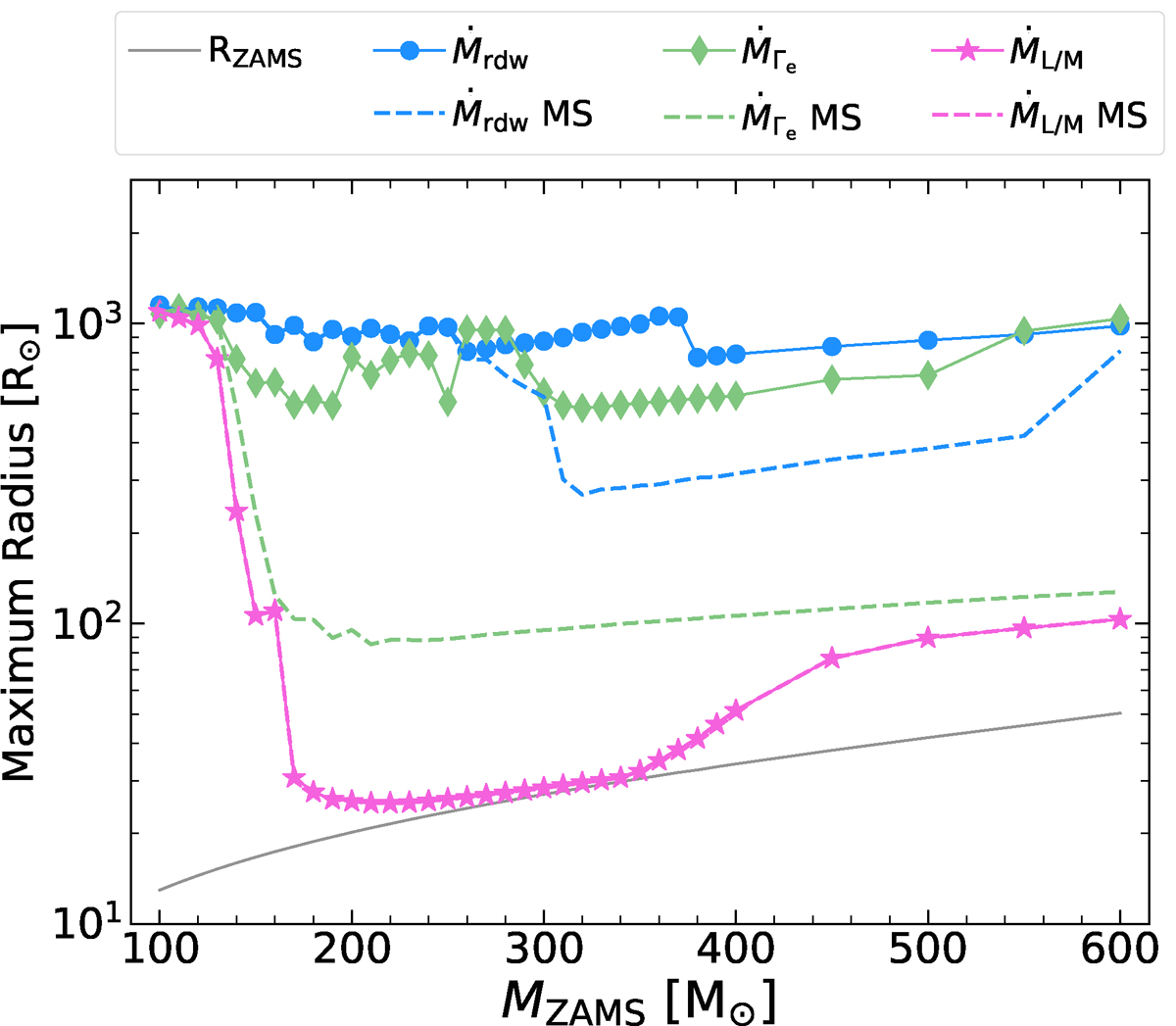
Fig. 4.

image

Download original image

Maximum radius reached for each ZAMS mass for tracks computed with different mass-loss rates, indicated by the color and marker. The solid lines with blue circles, green diamonds, and pink stars show the maximum radius reached during the evolution for tracks computed with rdw, Γe, and L/M winds, respectively, and the dashed lines show the maximum radius reached on the MS. The dashed L/M is superimposed on the solid line. The solid gray line shows the ZAMS radius.

Current usage metrics show cumulative count of Article Views (full-text article views including HTML views, PDF and ePub downloads, according to the available data) and Abstracts Views on Vision4Press platform.

Data correspond to usage on the plateform after 2015. The current usage metrics is available 48-96 hours after online publication and is updated daily on week days.

Initial download of the metrics may take a while.