Open Access

Fig. B.4

image

Download original image

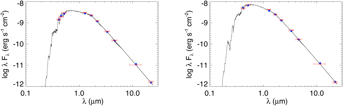
SEDs of the host stars TOI-5800 (left) and TOI-5817 (right). The broadband measurements from the Tycho, APASS Johnson, 2MASS, and WISE magnitudes are shown in red, and the corresponding theoretical values with blue circles. The un-averaged best-fit model is displayed with a solid black line.

Current usage metrics show cumulative count of Article Views (full-text article views including HTML views, PDF and ePub downloads, according to the available data) and Abstracts Views on Vision4Press platform.

Data correspond to usage on the plateform after 2015. The current usage metrics is available 48-96 hours after online publication and is updated daily on week days.

Initial download of the metrics may take a while.