Open Access

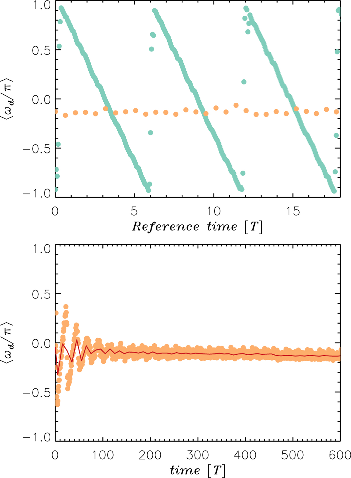
Fig. 5

image

Download original image

Mass-weighted argument of pericenter of the circumprimary disk versus time. The top panel shows results for a 2D (green circles) and a 3D model (orange circles). The 2D model predicts a retrograde precession of the circumprimary disk at a rate of about 6 binary periods for a full revolution. The precession rate resulting from the 3D model is still retrograde, but orders of magnitude slower. The long-term behavior of the 3D model is displayed in the bottom panel. The solid line represent an average over 10 T intervals. See text for further details.

Current usage metrics show cumulative count of Article Views (full-text article views including HTML views, PDF and ePub downloads, according to the available data) and Abstracts Views on Vision4Press platform.

Data correspond to usage on the plateform after 2015. The current usage metrics is available 48-96 hours after online publication and is updated daily on week days.

Initial download of the metrics may take a while.