Open Access

Fig. 7

image

Download original image

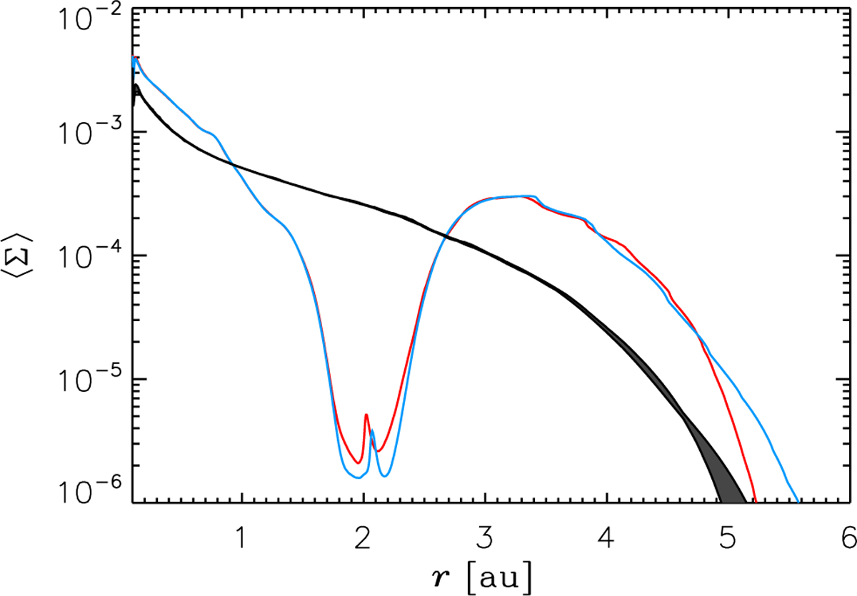
Surface density averaged around the primary, in units of MA/au2, obtained from the 3D model of Figure 6. The density profiles correspond to orbital phases of the binary at apocenter (red) and pericenter (blue). The shaded region represents the surface density of the 3D model without a planet shown in Figure 3. The density peaks inside the tidal gap generated by the planet indicate the radial position of the planet (which moves on an eccentric orbit).

Current usage metrics show cumulative count of Article Views (full-text article views including HTML views, PDF and ePub downloads, according to the available data) and Abstracts Views on Vision4Press platform.

Data correspond to usage on the plateform after 2015. The current usage metrics is available 48-96 hours after online publication and is updated daily on week days.

Initial download of the metrics may take a while.