Open Access

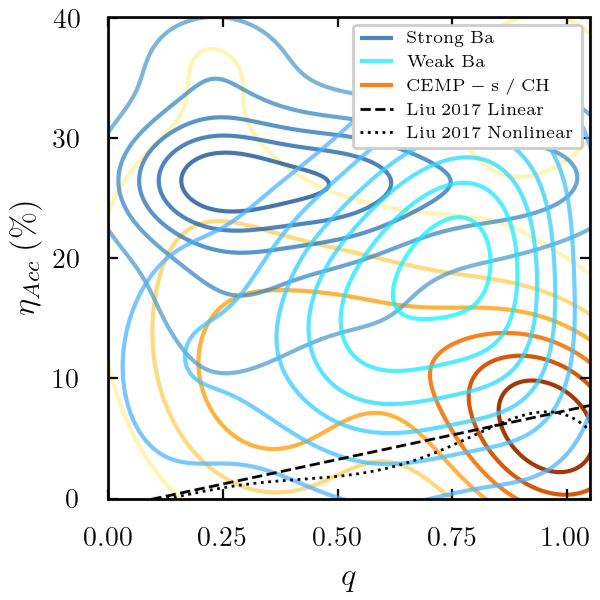
Fig. 6.

image

Download original image

Computed accretion efficiencies for our sample populations. Purple-blue contours are the strong Ba stars, and the green contours are the weak Ba stars. Red-yellow contours are our carbon-enhanced sample, including both CH and CEMP-s stars.

Current usage metrics show cumulative count of Article Views (full-text article views including HTML views, PDF and ePub downloads, according to the available data) and Abstracts Views on Vision4Press platform.

Data correspond to usage on the plateform after 2015. The current usage metrics is available 48-96 hours after online publication and is updated daily on week days.

Initial download of the metrics may take a while.