Open Access

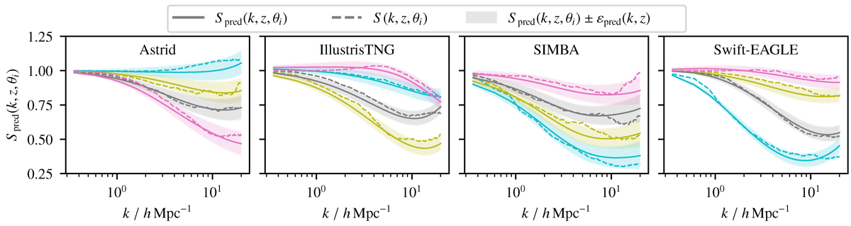
Fig. 4.

image

Download original image

Predicted baryonic suppression of the matter power spectrum, S, as a function of wavenumber, k, at redshift zero for four randomly sampled hydrodynamical simulations at z = 0. Our predictions from Table 3 are shown as solid lines, and the shaded regions give the estimated error on these from Table 4. The dashed lines give the true values measured from the simulations, which are seen to be consistent with our predictions.

Current usage metrics show cumulative count of Article Views (full-text article views including HTML views, PDF and ePub downloads, according to the available data) and Abstracts Views on Vision4Press platform.

Data correspond to usage on the plateform after 2015. The current usage metrics is available 48-96 hours after online publication and is updated daily on week days.

Initial download of the metrics may take a while.