Open Access

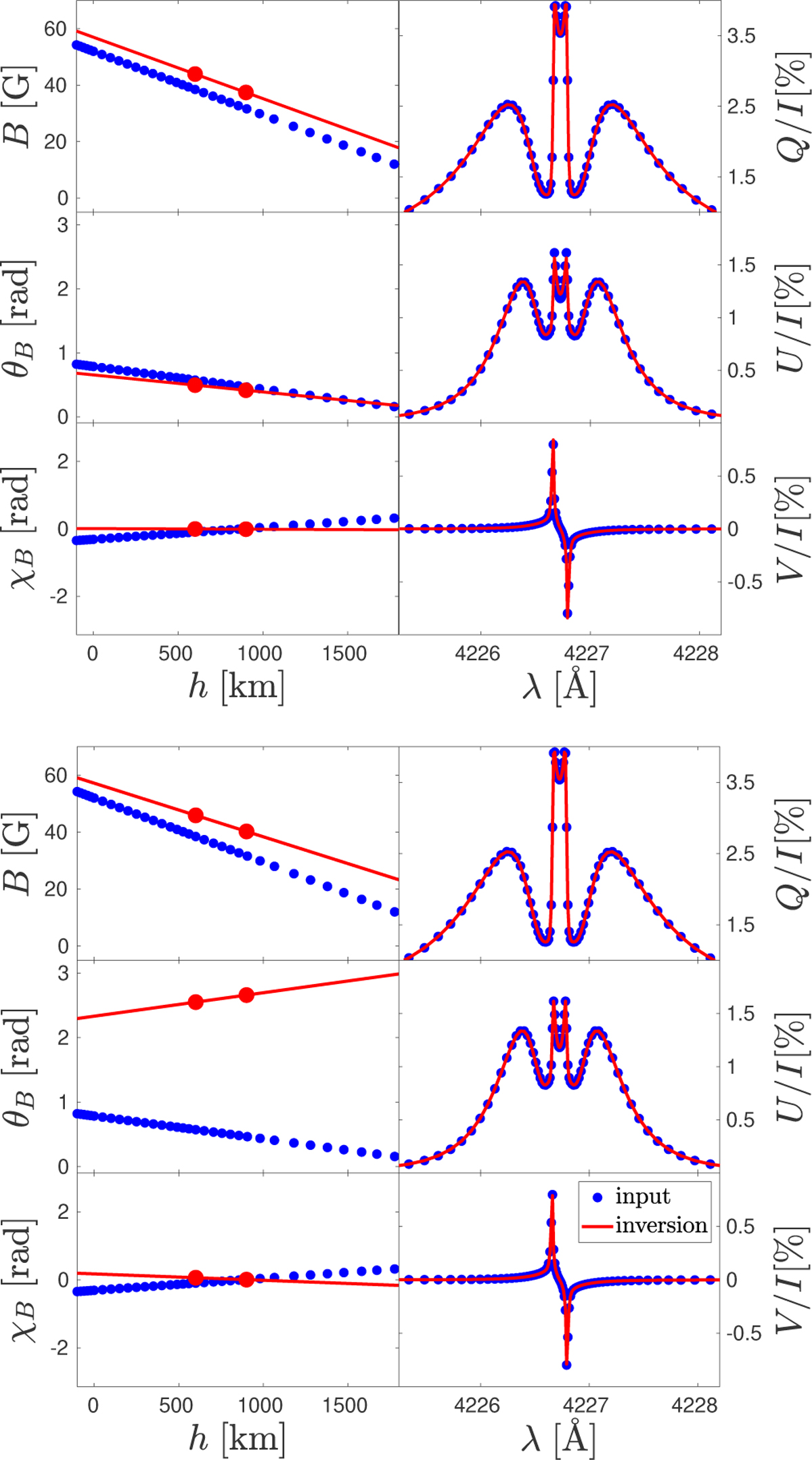
Fig. 5

image

Download original image

Inversion of Ca I 4227 fractional Stokes profiles at μ = 0.07 synthesized in the static FAL-C model in the presence of a heightdependent magnetic field for two different initial guesses: IG-1 (top panel) and IG-2 (bottom panel). Left column: magnetic field magnitude, B, inclination, θB, and azimuth, χB of the original model (blue dots) and two-nodes fitted (red lines) quantities. Right column: synthetic input Iobs (blue dots), and retrieved Iout (red lines), fractional polarization Q/I, U/I, and V/I profiles.

Current usage metrics show cumulative count of Article Views (full-text article views including HTML views, PDF and ePub downloads, according to the available data) and Abstracts Views on Vision4Press platform.

Data correspond to usage on the plateform after 2015. The current usage metrics is available 48-96 hours after online publication and is updated daily on week days.

Initial download of the metrics may take a while.