Open Access

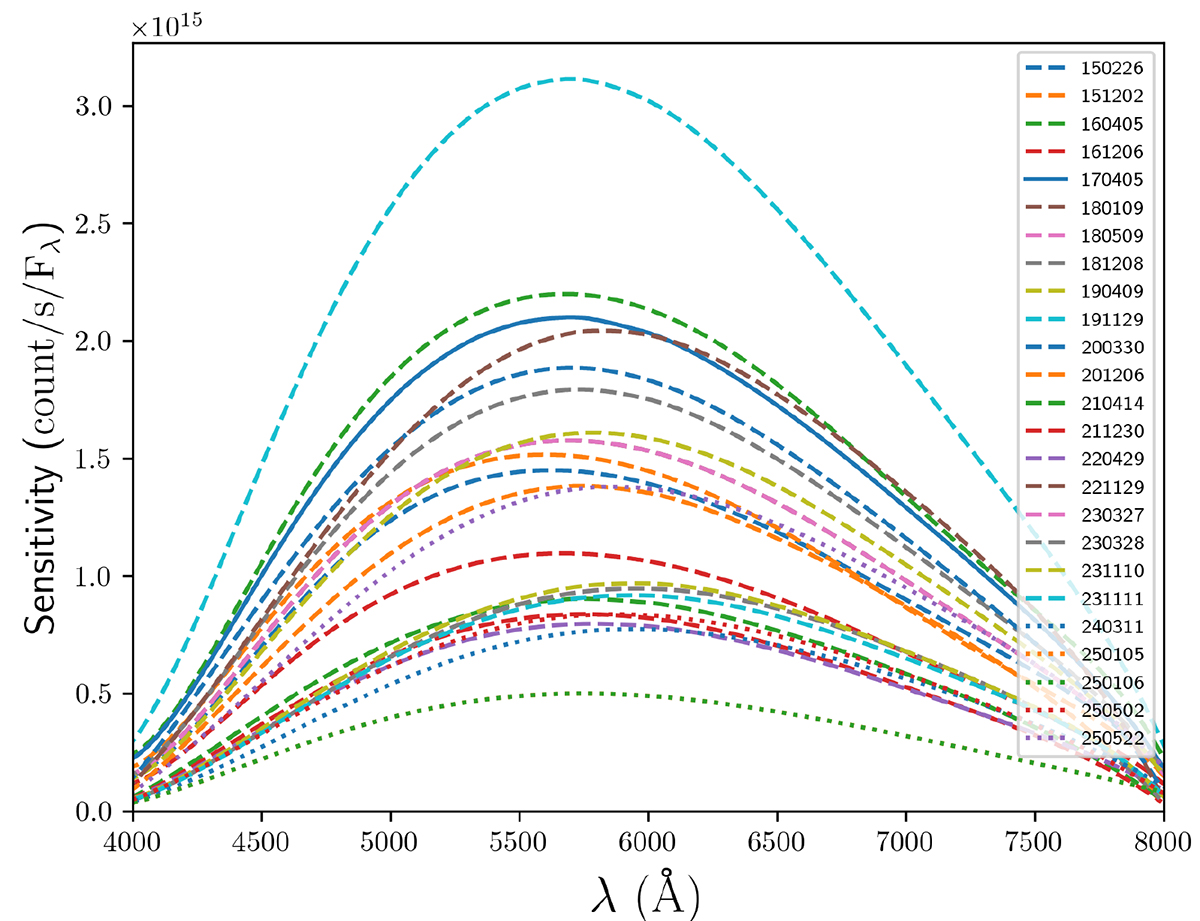
Fig. A.1.

image

Download original image

SPRAT response functions at the 25 observation epochs. We use labels YYMMDD, where YY, MM, and DD represent the last two digits of the year, the month, and the day of the month, respectively. These YYMMDD labels are also used in Figures A.2, A.4, and A.5.

Current usage metrics show cumulative count of Article Views (full-text article views including HTML views, PDF and ePub downloads, according to the available data) and Abstracts Views on Vision4Press platform.

Data correspond to usage on the plateform after 2015. The current usage metrics is available 48-96 hours after online publication and is updated daily on week days.

Initial download of the metrics may take a while.