Open Access

Fig. 5.

image

Download original image

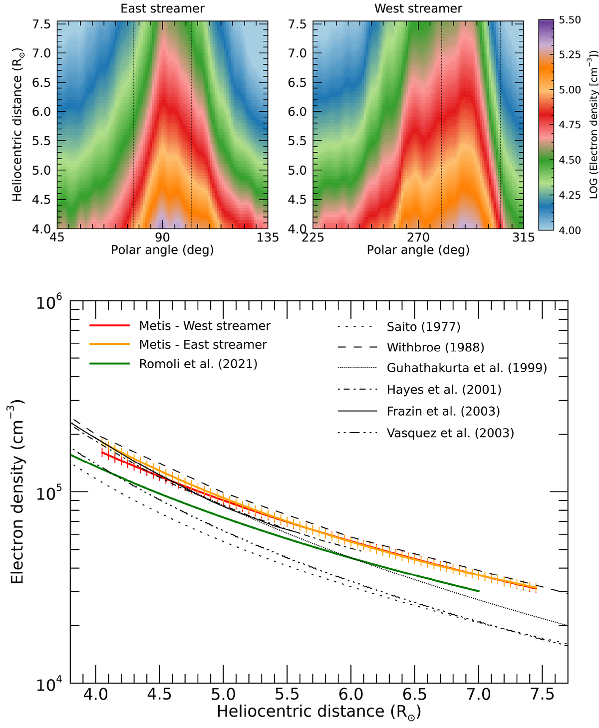
Top: Electron density maps derived from Metis pB data in the two regions surrounding the east and west equatorial streamers, centered, respectively, at PA = 90° (left) and at PA = 292.5° (right). The thin vertical lines mark the regions considered in the study. Bottom: Electron density radial profiles obtained from this analysis, compared with the streamer profile obtained from Metis first-light data (green by Romoli et al. 2021) and with other density profiles for equatorial and mid-latitude streamers reported in the literature, as is indicated in the legend (see also the text).

Current usage metrics show cumulative count of Article Views (full-text article views including HTML views, PDF and ePub downloads, according to the available data) and Abstracts Views on Vision4Press platform.

Data correspond to usage on the plateform after 2015. The current usage metrics is available 48-96 hours after online publication and is updated daily on week days.

Initial download of the metrics may take a while.