Open Access

Fig. 5

image

Download original image

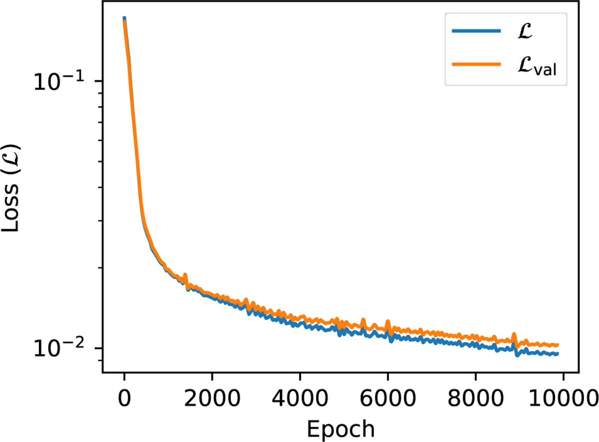
Training (blue) and validation (orange) total loss at different epochs for the backward emulation training. Although the total loss does not become constant, we note that the individual losses of the physical parameters (not reported here) become constant after a few epochs, apart from the turbulence velocity dispersion (συ) and the total mass (M) that drive the total loss.

Current usage metrics show cumulative count of Article Views (full-text article views including HTML views, PDF and ePub downloads, according to the available data) and Abstracts Views on Vision4Press platform.

Data correspond to usage on the plateform after 2015. The current usage metrics is available 48-96 hours after online publication and is updated daily on week days.

Initial download of the metrics may take a while.