Open Access

Fig. 3.

image

Download original image

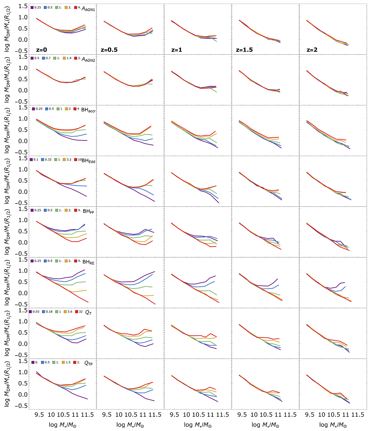
MDM, 1/2/M⋆, 1/2 plotted against M. Each row shows variations in the AGN-related simulation parameters: AAGN1, AAGN2, BHaccr, BHEdd, BHFF, BHRE, QT, and QTP from top to bottom. The green lines represent the reference CAMELS simulation. To examine the evolution across redshift, simulation snapshots at z = 0, z = 0.5, z = 1, z = 1.5, and z = 2 are displayed from left to right. The medians in stellar mass bins are shown.

Current usage metrics show cumulative count of Article Views (full-text article views including HTML views, PDF and ePub downloads, according to the available data) and Abstracts Views on Vision4Press platform.

Data correspond to usage on the plateform after 2015. The current usage metrics is available 48-96 hours after online publication and is updated daily on week days.

Initial download of the metrics may take a while.