Open Access

Fig. 6

image

Download original image

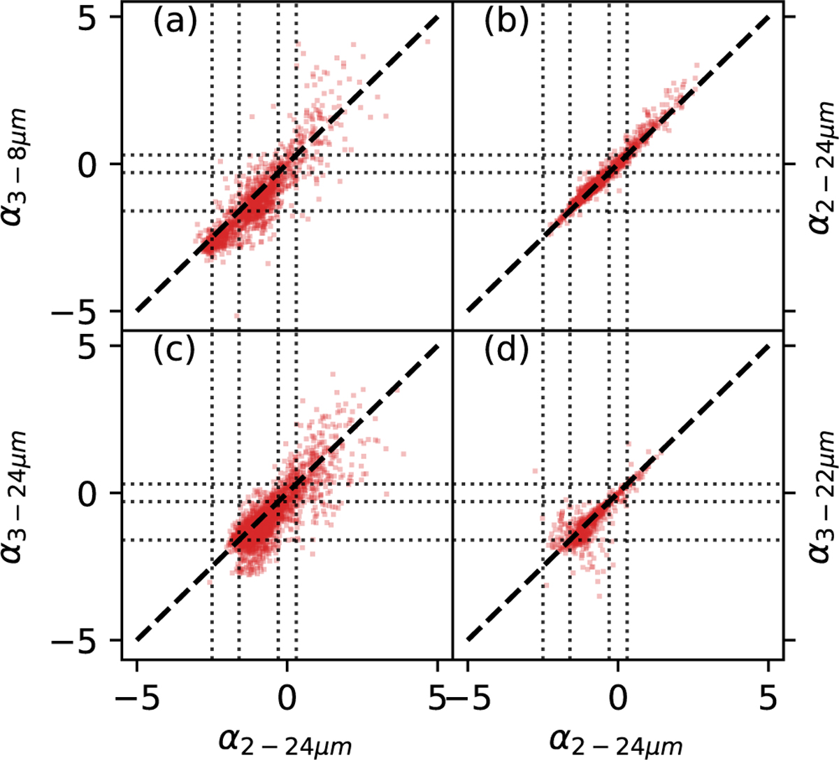
Comparison of αIR indices derived in this study (Fig. 5) with literature values from: (a) Koenig et al. (2015), (b) Großschedl et al. (2019), (c) Megeath et al. (2012), (d) Getman et al. (2017). Dashed lines reflect a 1:1 equivalence. Dotted-black lines show the limit between YSO classes adopted in this study (Table 1).

Current usage metrics show cumulative count of Article Views (full-text article views including HTML views, PDF and ePub downloads, according to the available data) and Abstracts Views on Vision4Press platform.

Data correspond to usage on the plateform after 2015. The current usage metrics is available 48-96 hours after online publication and is updated daily on week days.

Initial download of the metrics may take a while.