Open Access

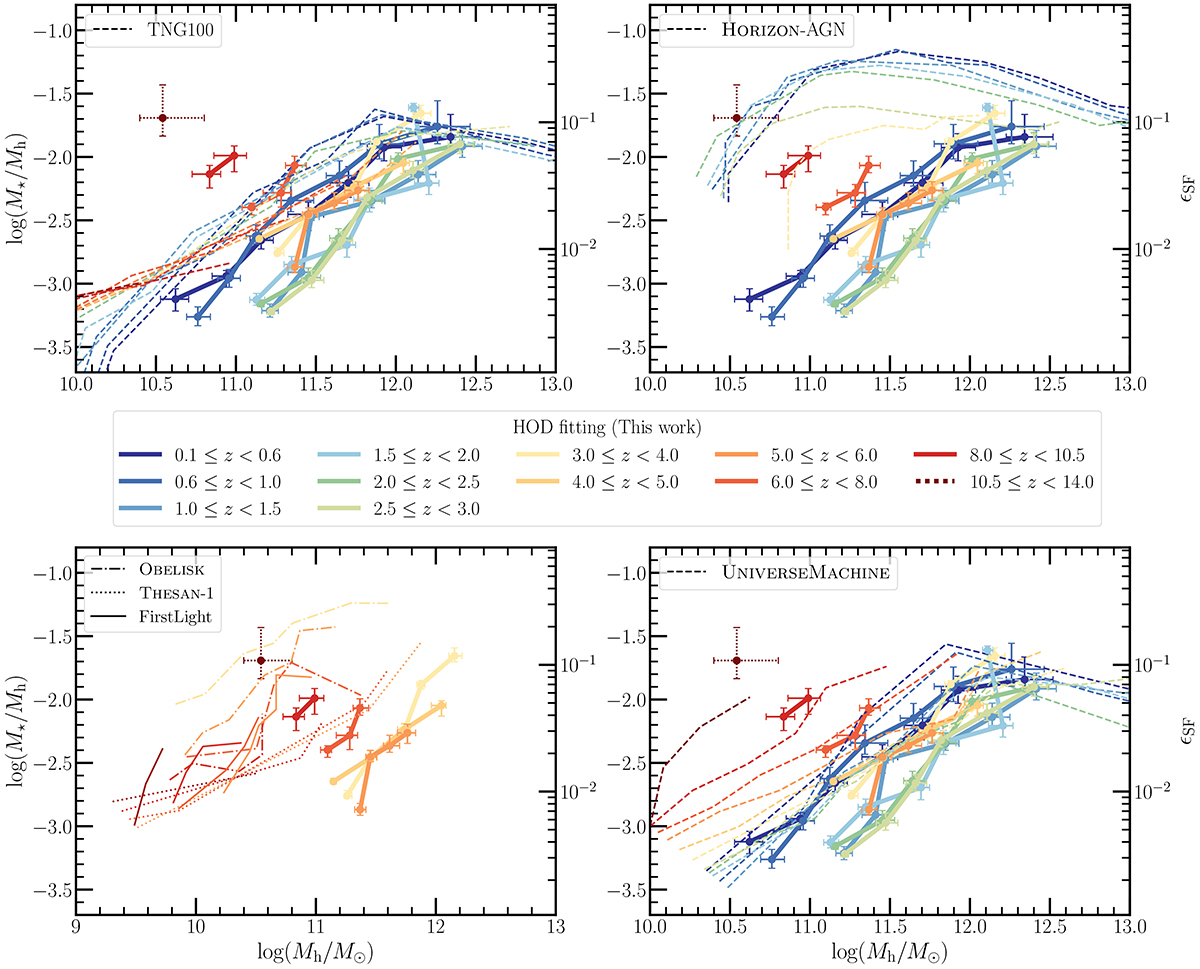
Fig. 14.

image

Download original image

Comparison of the observational SHMR in COSMOS-Web with results from various hydrodynamical simulations and the semi-empirical model UNIVERSEMACHINE. Solid lines represent the observational SHMR M⋆,th/Mh,min, obtained from HOD fitting of mass-limited galaxy clustering measurements in COSMOS-Web. The point at 10.5 ≤ z < 14 is represented in dotted lines because it is considered less certain. The dashed and other lines represent the SHMR in the simulations computed similarly to the observations, where Mh, min is the halo mass at which 50% of halos host a central galaxy with a stellar mass above M⋆,th. Top left: SHMR from TNG100 simulation snapshots, computed at the mean redshifts of each observational redshift range. Top right: SHMR from Horizon-AGN light-cone, calculated over the same redshift ranges as the observations, but limited to z ≤ 6. Bottom right: Same from UNIVERSEMACHINE light-cone in the COSMOS field, matching the observational redshift ranges. Bottom left: Same for high-z simulations (THESAN-1, FirstLight, OBELISK), computed from snapshots at mean redshifts from z ∼ 5 to z ∼ 12.

Current usage metrics show cumulative count of Article Views (full-text article views including HTML views, PDF and ePub downloads, according to the available data) and Abstracts Views on Vision4Press platform.

Data correspond to usage on the plateform after 2015. The current usage metrics is available 48-96 hours after online publication and is updated daily on week days.

Initial download of the metrics may take a while.