Open Access

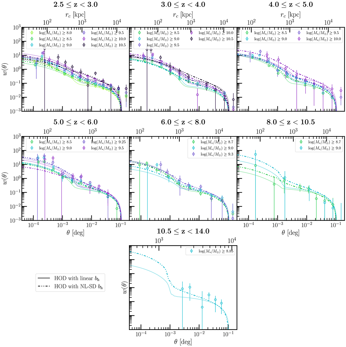
Fig. D.1.

image

Download original image

Angular autocorrelation function of galaxies in the COSMOS-Web survey, in redshift and mass limited bins. Dash-dotted lines show the HOD best-fit models with Jose et al. (2016) nonlinear scale-dependent halo bias, and solid lines are HOD best-fit models without it (assuming a large-scale bias of Tinker et al. 2010).

Current usage metrics show cumulative count of Article Views (full-text article views including HTML views, PDF and ePub downloads, according to the available data) and Abstracts Views on Vision4Press platform.

Data correspond to usage on the plateform after 2015. The current usage metrics is available 48-96 hours after online publication and is updated daily on week days.

Initial download of the metrics may take a while.