Open Access

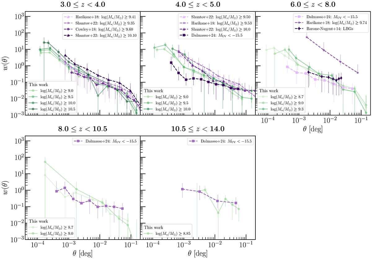
Fig. 7.

image

Download original image

Comparison of COSMOS-Web’s ACF with literature measurements (Barone-Nugent et al. 2014; Harikane et al. 2018; Cowley et al. 2018; Shuntov et al. 2022; Dalmasso et al. 2024a). Some works used UV magnitude-limited samples or LBG samples, so direct comparison with mass-limited samples is not possible. However, we chose to represent them since they are the only existing clustering measurements at z ≥ 8.

Current usage metrics show cumulative count of Article Views (full-text article views including HTML views, PDF and ePub downloads, according to the available data) and Abstracts Views on Vision4Press platform.

Data correspond to usage on the plateform after 2015. The current usage metrics is available 48-96 hours after online publication and is updated daily on week days.

Initial download of the metrics may take a while.