Open Access

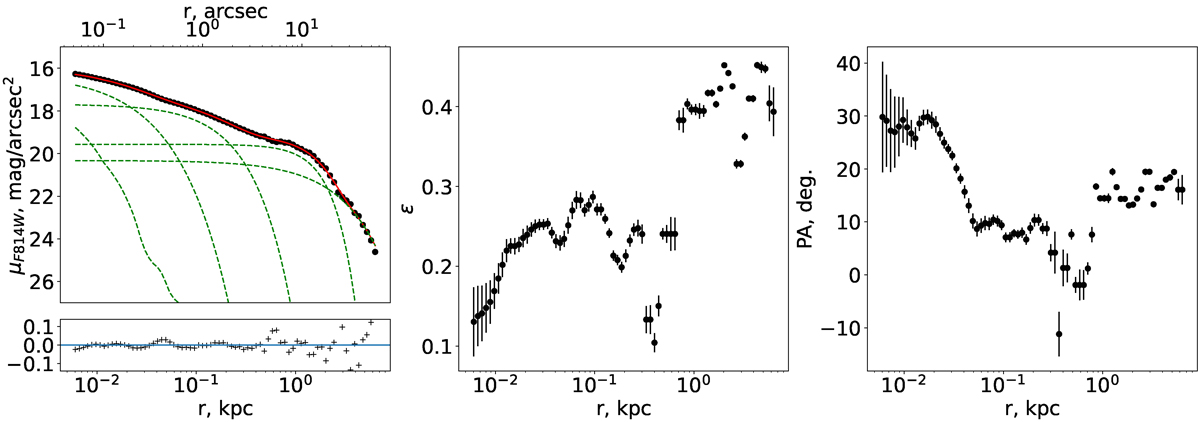
Fig. 5.

image

Download original image

Results of isophotal analysis of HST ACS/WFC images of NGC 3259 in the F814W band. Left panel: Surface brightness (μF814W) profile with the best-fitting model (red line) and its components (green dashed lines); residuals are shown in the bottom sub-panel. Middle panel: Ellipticity (ε) of isophotes. Right panel: Position angle (PA) of isophotes.

Current usage metrics show cumulative count of Article Views (full-text article views including HTML views, PDF and ePub downloads, according to the available data) and Abstracts Views on Vision4Press platform.

Data correspond to usage on the plateform after 2015. The current usage metrics is available 48-96 hours after online publication and is updated daily on week days.

Initial download of the metrics may take a while.