Open Access

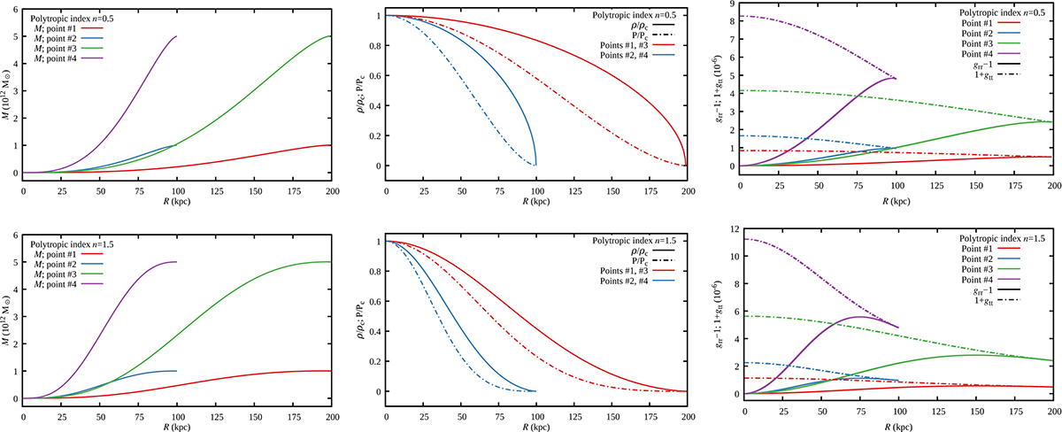
Fig. 12.

image

Download original image

Radial profiles of the mass, ν (left column), energy density, ρ (middle column), pressure, P (middle column), and metric coefficients, gtt, grr (right column), constructed for the parameters σ and ρc on the edges of the allowed regions. The first row of the figure corresponds to the polytropic sphere with n = 0.5, second row corresponds to n = 1.5 polytropes. For better visualization of the metric coefficients we introduced the special scale convenient for the nonrelativistic configurations.

Current usage metrics show cumulative count of Article Views (full-text article views including HTML views, PDF and ePub downloads, according to the available data) and Abstracts Views on Vision4Press platform.

Data correspond to usage on the plateform after 2015. The current usage metrics is available 48-96 hours after online publication and is updated daily on week days.

Initial download of the metrics may take a while.