Open Access

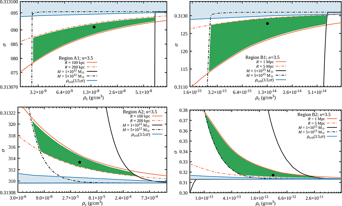
Fig. 13.

image

Download original image

Allowed regions for the n = 3.5 galaxy-like (A1 and A2 regions; left column) and cluster-like (B1 and B2 regions; right column) polytropic spheres. The corresponding radial profiles for the selected values (see Table 2), depicted here by the black dots, are given in Fig. B.1.

Current usage metrics show cumulative count of Article Views (full-text article views including HTML views, PDF and ePub downloads, according to the available data) and Abstracts Views on Vision4Press platform.

Data correspond to usage on the plateform after 2015. The current usage metrics is available 48-96 hours after online publication and is updated daily on week days.

Initial download of the metrics may take a while.