Open Access

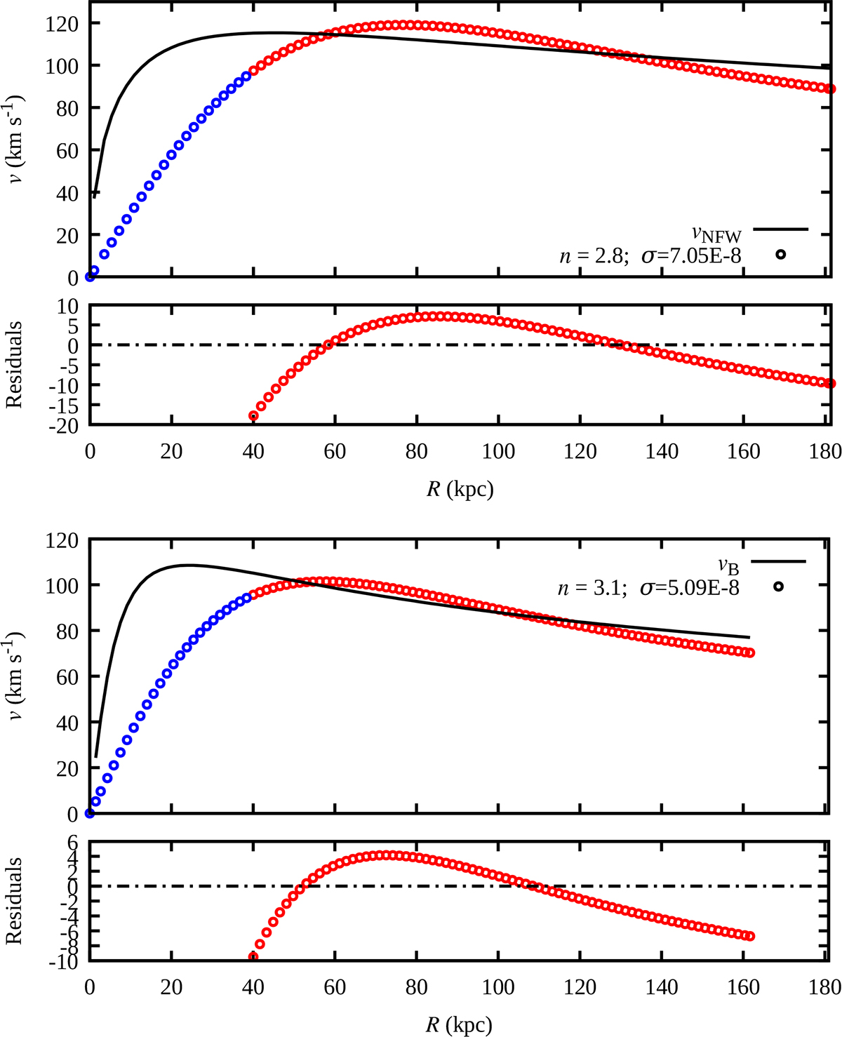
Fig. 22.

image

Download original image

Best match of the polytrope velocity profiles (circles) to the velocity profiles related to the NFW model (top; solid line) and the Burkert model (bottom; solid line) with our best polytrope sphere velocity profiles (circles). The blue circles in both cases represent the points not included in the matching procedure, while the red ones are included. For completeness, we also include the residuals in both cases in dependence on the radius.

Current usage metrics show cumulative count of Article Views (full-text article views including HTML views, PDF and ePub downloads, according to the available data) and Abstracts Views on Vision4Press platform.

Data correspond to usage on the plateform after 2015. The current usage metrics is available 48-96 hours after online publication and is updated daily on week days.

Initial download of the metrics may take a while.