Open Access

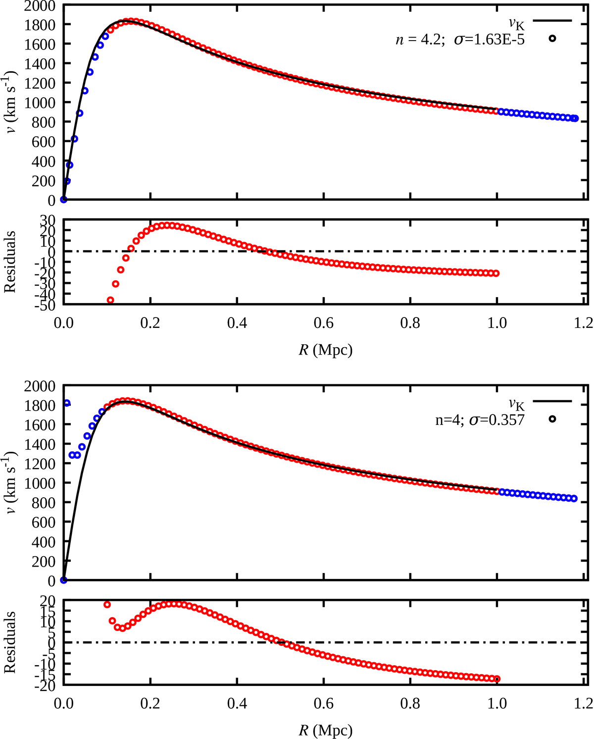
Fig. 23.

image

Download original image

Best match of the polytrope velocity profiles (circles) to the velocity profiles related to the King velocity profile vK (line) is given for the nonrelativistic polytropic sphere (top) and the relativistic polytrope of the spread kind (bottom). The red dots are the points included for the matching procedure, while the blue points are not included. We also show the residuals for monitoring of the process in dependence on the radius.

Current usage metrics show cumulative count of Article Views (full-text article views including HTML views, PDF and ePub downloads, according to the available data) and Abstracts Views on Vision4Press platform.

Data correspond to usage on the plateform after 2015. The current usage metrics is available 48-96 hours after online publication and is updated daily on week days.

Initial download of the metrics may take a while.