Open Access

Fig. 3.

image

Download original image

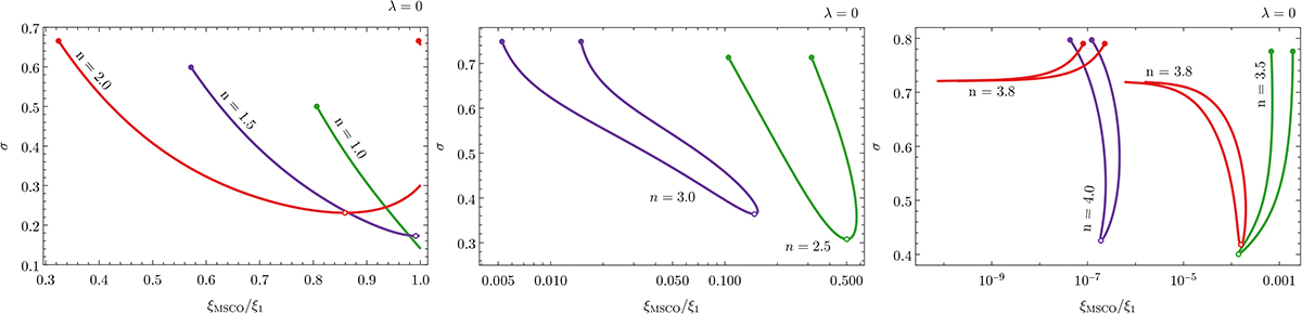
Relative positions of marginally stable circular orbits shown for several values of polytropic parameter n. For n = 3.8 we can see the onset of extremely large polytropes for higher values of parameter σ, since values of the absolute positions ξMSCO are only slightly affected by σ and all remain in the interval (0.8,  2.4). Solid circles show the maximum considered value of sigma σcausal ≡ n/(n + 1).

Current usage metrics show cumulative count of Article Views (full-text article views including HTML views, PDF and ePub downloads, according to the available data) and Abstracts Views on Vision4Press platform.

Data correspond to usage on the plateform after 2015. The current usage metrics is available 48-96 hours after online publication and is updated daily on week days.

Initial download of the metrics may take a while.