Open Access

Fig. 5.

image

Download original image

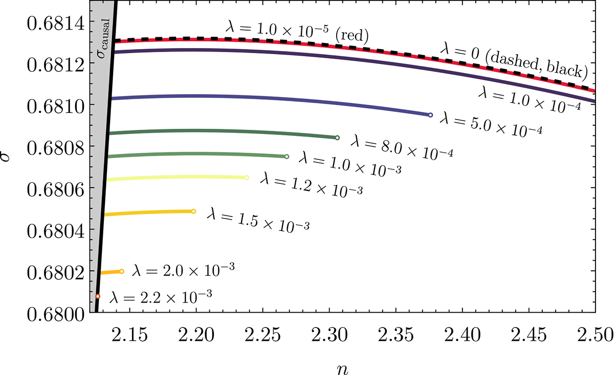
Minimal values of the parameter σ with respect to parameters n and λ for which the trapping phenomenon occurs. Their limitations with respect to the parameter n is set by considered physically plausible values of σcausal and by the requirement of the existence of polytropic configurations (rings at the end of the lines; using depicted scope visible up to λ = 5 × 10−4). Borderlines for common values of n for cases λ < 10−5 differ only negligibly from the case λ = 0.

Current usage metrics show cumulative count of Article Views (full-text article views including HTML views, PDF and ePub downloads, according to the available data) and Abstracts Views on Vision4Press platform.

Data correspond to usage on the plateform after 2015. The current usage metrics is available 48-96 hours after online publication and is updated daily on week days.

Initial download of the metrics may take a while.